Preform porosity and permeability model

Both the porosity and the permeability of the fiber-mat affect the filling pattern in a Reactive Molding analysis.

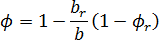
The porosity of the preform is described by the following equation:

where:

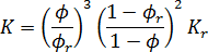
The permeability of the preform is described by the following equation:

where is the permeability.