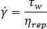
The bulk shear rate, or representative shear rate is derived from the wall shear stress and the fluidity, which are quantities calculated during an analysis.
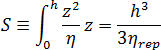
A representative viscosity,
is calculated from the fluidity,
, and the thickness of the part,
, as:

The representative shear rate is then calculated from the wall shear stress and the representative viscosity:
