Cálculo de las proporciones de resistencia de correas trapezoidales

Ecuaciones generales utilizadas

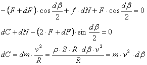
Donde m es una masa de correa específica definida como m = S ρ

Coeficiente de fricción modificado de una polea dada

f = f g + v f mod

Ecuaciones fundamentales de poleas impulsoras y correas

potencia para transmitir

Velocidad de correa

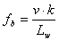
Frecuencia de flexión de correa

Desmoldeo efectivo (o tensión efectiva)

Fuerza centrífuga

Fc = z m v 2

Tensión en los intervalos de la correa

Con las ecuaciones siguientes, la aplicación primero determina la polea que con mayor probabilidad requiera la tensión máxima de instalación de correa para poder transmitir una carga. Seguidamente, la tensión de correa de cada intervalo se ajusta para todas las poleas con respecto a la tensión de instalación de correa inicial.

F 1i - F p P xi - F 2i = 0

El criterio para determinar la polea más probable es la tensión del lado de máximo apriete

F 1max = max (F 1i )

La tensión máxima total en el intervalo de correa (por cada correa) cuando la transmisión de la correa se encuentra bajo carga completa se determina como

Donde la expresión “k 1 F 1max ” es la tensión máxima real en el alcance de correa considerado para todas las correas de la transmisión de correa. De este modo, todas las tensiones correspondientes de los distintos alcances se calculan de nuevo para cumplir la siguiente condición:

F 1i - F P P xi - F 2i = 0

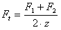
Carga axial resultante para cada polea cuando la transmisión de la correa se encuentra bajo carga completa

Nota: En las poleas conducidas y las poleas intermedias, F 1 y F 2 se invierten en el generador, de manera que F 1 es la tensión de entrada en el intervalo de la correa y F 2 es la tensión de salida en el intervalo de la correa en el sentido del movimiento de la correa.

Tensión de instalación inicial de la correa y fuerza de tensado estática

La tensión de instalación inicial de la correa requerida (por cada correa) se puede ajustar con el factor de tensado y se calcula del modo siguiente:

La fuerza de tensado estática F v se determina para cada polea. La aplicación calcula la fuerza de tensado que actúa sobre el eje de los intervalos de la correa de la forma siguiente:

Significado de las variables utilizadas:

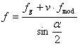
F Fuerza tangencial [N]
β Arco de contacto [gr]
α Ángulo de cuña [gr]
C Fuerza centrífuga [N]
N Fuerza normal [N]
m Masa específica de la correa [kg/m]
v Velocidad de correa [m/s]
R Radio de polea [m]
S Área de la sección transversal de la correa [m 2 ]
T Par de torsión en una polea especificada [Nm]
D p Diámetro de separación de polea [m]
k Número de poleas [-]
P potencia para transmitir [N]
v Velocidad de correa [m/s]
F c Fuerza centrífuga [N]
F 1 Tensión en intervalo de correa en entrada para polea especificada [-]
F 2 Tensión en intervalo de correa en salida para polea especificada [-]
f Factor de fricción modificado de la polea especificada [-]
P x Tasa de potencia de polea especificada [-]
f g Factor de fricción de material y correa de la polea especificada [-]

f mod

Factor de velocidad de modificación de fricción [s/m]
Z Número de correas [-]
ρ Densidad de la correa [kg/m3]
F t Tensión inicial de instalación de correa [N
F v Fuerza de tensado estática para la polea especificada [N]
k 1 Factor de tensión de correa [-]
Nota: i = índice de la polea