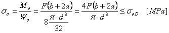
Tensión de plegado

Presión en la varilla
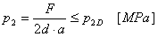
Presión en la horquilla
Tensión de corte
donde:
|
F |
fuerza [N] |
|
|
σ 0 |
tensión de plegado [MPa] |
|
|
σ 0D |
tensión de plegado admitida [MPa] |
|
|
M 0 |
momento de plegado [N mm] |
|
|
W 0 |
módulo de la sección de plegado [mm 3 ] |
|
| τ |
tensión de corte [MPa] |
|
|
τ D |
tensión de corte admitida [MPa] |
|
|
d |
diámetro del pasador [mm] |
|
|
p 1 |
presión en la varilla [MPa] |
|
|
p 2 |
presión en la horquilla [MPa] |
|
|
p 1D |
presión admitida en la varilla [MPa] |
|
|
p 2D |
presión admitida en la horquilla [MPa] |
|
|
b |
anchura de la varilla [mm] |
|
|
a |
anchura del brazo de la horquilla [mm] |