Acerca de la creación de bocetos de splines

Cuando dibuje un boceto de spline, intente usar las líneas (o combinaciones de ellas) más sencillas para lograr los resultados deseados.

Por ejemplo, para trazar una línea similar a la de la imagen siguiente:

Para crear una línea como ésta, podría usar una combinación de arcos y líneas o una spline. Las líneas cuyo boceto se realiza mediante splines requieren más tiempo de procesamiento, por lo que es preferible combinar un arco y una línea, siempre que sea posible.

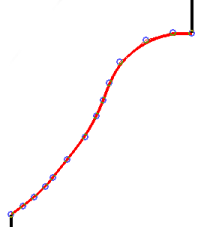
Cuando sea preciso crear una línea mediante una spline, se debe usar el menor número de puntos de control posible para minimizar el tiempo de procesamiento. La imagen siguiente muestra una spline creada mediante la selección de diversos puntos de control (representados por puntos azules).

Podría crear la misma spline utilizando menos puntos de control, como muestra esta imagen: