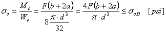
Contrainte de pliage

Pression dans la tige
Pression dans la chape
Contrainte de cisaillement
Contrainte de cisaillement
où :
|
F |
force [lb] |
|
|
σ 0 |
contrainte de pliage [psia] |
|
|
σ 0D |
contrainte de pliage admissible [psi] |
|
|
M 0 |
moment de flexion [lb ft] |
|
|
W 0 |
module de coupe de flexion [po 3 ] |
|
| τ |
contrainte de cisaillement [psi] |
|
|
τ D |
contrainte de cisaillement admissible [psi] |
|
|
d |
diamètre de la broche [po] |
|
|
p 1 |
pression dans la tige [MPa] |
|
|
p 2 |
pression dans la chape [psi] |
|
|
p 1D |
pression admissible dans la tige [psi] |
|
|
p 2D |
pression admissible dans la chape [psi] |
|
|
b |
largeur de la tige [po] |
|
|
a |
largeur du bras de chape [po] |