Pour un demi-axe donné, traité toujours en tant que demi-axe positif (x>0), il est possible de définir un ensemble des fonctions fi déterminées dans les intervalles successifs divisés par les points caractéristiques xi.
Lors de la définition de la fonction fi déterminée pour un intervalle (xi, xi+1) donné, il faut prendre en compte :
Pour définir l'argument de la fonction créée au moyen des expressions, vous devez utilisez les symboles x ou X. Les expressions peuvent être créées à partir des caractères suivants :
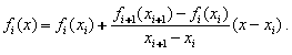
+, -, *, /, ^ (alimentation) (,) selon les principes mathématiques. L'expression inf détermine une valeur égale à l'infini pour la fonction y(x). Les expressions déterminées de façon incorrecte (notation incorrecte) généreront des valeurs de fonction nulles. Si l'argument x est négligé dans l'expression, cela signifie qu'elle prend la valeur constante dans l'intervalle donné (à condition que l'expression a été donnée au moyen de " "). Si l'expression constante est donnée sans " ", sa valeur est une valeur de la fonction dans le point xi, et les valeurs pour x > xi seront interpolées linéairement entre les valeurs successives de la fonction conformément à la formule :

Dans le cas où vous définissez le modèle de rotule à l'aide de l'expression de la fonction, vous devez savoir que les valeurs décrivant les paramètres de la fonction doivent être données en unités de base du logiciel Robot et elles ne seront pas recalculées lors de la modification des unités.