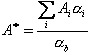
La fonction de base du module Définir sections est de calculer les propriétés géométriques de la section pleine définie. Pour les sections mixtes, les propriétés pondérées (signalisés par l’astérisque) sont calculées suivant la formule :

où :
i - i-ème matériau de la section mixte
b - matériau de base de la section mixte.
Les résultats généraux comprennent les valeurs suivantes, qui sont spécifiées comme des valeurs géométriques et pondérées : surface, coordonnées du centre de gravité, dimensions et paramètres de matériau de base (module de Young, densité, poids par unité). Vous pouvez choisir d'effectuer des calculs supplémentaires (sélectionnez l'option appropriée, puis cliquez sur Calculer).
Les facteurs de résistance plastique par rapport aux axes principaux centraux des sections sont calculés d’après les formules suivantes :

Le moment de flexion par rapport à l'axe y ou z, qui provoque la plasticité complète d'une coupe, est le produit de la valeur du facteur de résistance plastique de la section autour de l'axe y ou z et d'une valeur de limite de plasticité. Les surfaces de zones égales qui résultent de la division par le biais de la ligne neutre parallèle à l'axe y sont représentées par
. Les surfaces de zones égales qui résultent de la division par le biais de la ligne neutre parallèle à l'axe z sont représentées par
.
Les résultats des calculs supplémentaires sont affichés dans l’onglet Système principal de la boîte de dialogue Résultats.