Plasticité par écrouissage

Les paramètres du modèle de plasticité par écrouissage sont définis pour les arguments positif x>0. La valeur de la dérivée nécessaire pour définir la rigidité est également saisie :

Fonction :

Pour 0 < u < Dlim est un produit de la fonction f pl définie de la même façon que pour le modèle de plasticité idéale déterminé par les paramètres suivants :

et de la fonction linéaire décrivant l'écrouissage :

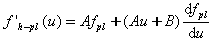
Dérivée (rigidité) :

Limitations :

Notez que les coefficients w et a sont liés par la relation : w est un coefficient de remplissage de courbe calculé à partir de la formule suivante :

et la formule ci-dessous permet d'obtenir la valeur du paramètre a :