La réponse modale est définie à l'aide de la formule suivante :
où :
n - nombre de modes
e ij - coefficients de corrélation
R i , R j - réponse spectrale aux modes 'i' et 'j'
Dans le logiciel, les types de combinaisons quadratiques suivants sont disponibles :
Pour la méthode SRSS, les coefficients de corrélation sont :
eij = 1 pour i=j,
eij = 0 pour i≠j,
d'où :
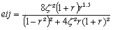
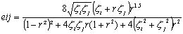
Pour la méthode CQC, les coefficients de corrélation sont calculés d'après la formule :
où :
ζ i , ζ j - coefficients d'amortissement pour les modes 'i' et 'j' (valeurs relatives)
r = Min (T i /T j ; T j /T i ) ≤ 1
T j , T i - périodes de vibrations pour les modes 'i' et 'j'.
La formule ci-dessus est utilisée par le logiciel, si l'option Calcul de l'amortissement (d'après PS92) est activée dans la boîte de dialogue des paramètres de l'analyse modale. Si cette option n'est pas cochée, une seule valeur de l'amortissement est utilisée pour toutes les modes et la formule est la suivante :
où Rdir1 étant la valeur maximale de chaque élément pour la composante donnée du tremblement de terre définie en tant que dir1 ; RKdir1 étant une valeur maximale de la réponse de l'élément en fonction du k-ième mode.
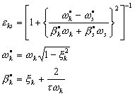
où Rdir1 étant la valeur maximale de chaque élément pour la composante donnée du tremblement de terre définie en tant que dir1 ; RKdir1 étant une valeur maximale de la réponse de l'élément en fonction du k-ième mode (k <-> s) ; N étant le nombre de modes.

τ étant la durée du tremblement de terre
ξk étant le coefficient d'amortissement pour le k-ième mode
ωk étant la pulsation pour le k-ième mode (k <-> s).
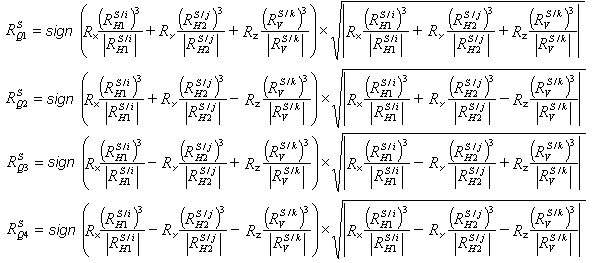
Formules permettant de déterminer la combinaison quadratique signée RQ pour les directions H1, H2 et V :

où :

RH1 – la réponse quadratique de la grandeur calculée de toutes les réponses modales du cas sismique ou spectral pour la première direction horizontale
RH1 – la réponse quadratique de la grandeur calculée de toutes les réponses modales du cas sismique ou spectral pour la deuxième direction horizontale
RV – la réponse quadratique de la grandeur calculée de toutes les réponses modales du cas sismique ou spectral pour la première direction verticale
Rx, Ry, Rz - les coefficients définis comme pour la combinaison quadratique dans la boîte de dialogue Direction.