La théorie de l’élément câble utilisée dans le logiciel Robot est basée sur la théorie générale du câble extensible avec une flèche peu importante. Selon cette théorie, la rigidité du câble est une fonction implicite des paramètres suivants : rigidité de la tension du câble (E * F), tension du câble, déplacements de l'appui du câble et charge transversale dans les deux directions (p y p z ).
Il faut attirer l’attention sur le fait que la définition des éléments câbles dans une structure, à cause du caractère non linéaire de leur travail, exige l’utilisation des méthodes itératives de l’analyse des structures.
Possibilités de mise en œuvre des câbles dans le logiciel Robot :
Limitations :
Charges des éléments câbles
Les charges suivantes s'appliquent aux éléments câbles :
Les charges suivantes ne s'appliquent pas aux éléments câbles :
SYNTAXE (données saisies par l’utilisateur dans un fichier texte)
PROpriétés
(<liste des éléments>) CABles AX=<aire de section> (E=<module de Young>)
(RO=<poids unitaire>) [PREContrainte= <s> | TENSion = <h> | LONgueur= <l>
| [ DILatation = <d> (RELative) ]]
où :
PREContrainte - contrainte normale (calculée par rapport à la corde du câble) qui doit être atteinte pour les charges du cas de montage
TENSion - force de tension (calculée par rapport à la corde du câble) qui doit être atteinte pour les charges du cas de montage
LONgueur - longueur du câble non chargé
DILatation - différence entre la longueur du câble non chargé et la distance entre les nœuds sur lesquels le câble est ancré (si la valeur est positive, la longueur du câble est supérieure à la distance entre les nœuds, si la valeur est négative, la longueur du câble est inférieure à la distance entre les nœuds)
DILatation RELative - proportion de la différence entre la longueur du câble non chargé et la distance des nœuds sur lesquels le câble est ancré (si la valeur est positive, la longueur du câble est supérieure à la distance entre les nœuds, si la valeur est négative, la longueur du câble est inférieure à la distance entre les nœuds).
Le logiciel Robot inclut la phase de montage de la structure. Il est recommandé qu'elle soit le premier cas de charge. La syntaxe de ce cas de charge est la suivante :
CAS
ASSemblage
[description des charges]
Pour ce cas de charge :
PREContrainte = s0 (contrainte initiale du câble) ou
TENSion = t0 (effort de tension initial dans le câble)
Lors de l’analyse des cas suivants, les charges sur la structure dans les conditions d’équilibre, les charges appliquées dans le cas de montage sont prises en compte. Les déplacements définis pour ce cas sont considérés comme initiaux. Les efforts de tension qui ont été prédéfinis changent (cela signifie que les câbles ont été ancrés après le montage).
À cette étape, l’équation (1) décrit le passage :
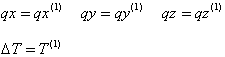
q0x = q0y = q0z = 0 (pas de charge)
H0 = 0 (pas de tension du câble)
T0 = 0
Dans cette équation, la longueur est égale à L1= :
|
1. |
long, quand (long ≠ 0) - si la valeur LONgueur est donnée dans la définition du câble |
|
2. |
[distance(A, B) + dilatation], quand la dilatation est définie dans le repère absolu - si la valeur DILatation est donnée dans la définition du câble |
|
3. |
[distance(A, B)*(1+dilatation], quand la dilatation est définie dans le repère relatif - si la valeur DILatation RELative est donnée dans la définition du câble |
|
4. |
[distance(A, B)], quand (dilatation = 0) et (long = 0) - si aucun des mots-clés LONgueur, DILatation et DILatation RELative n’apparaît dans la définition du câble ou qu'apparaît un des mots-clés suivants : |
à

L2 est la distance entre les nœuds de fixation A et B du câble déformé :
L2 = distance (A + U un , B + U B )
où :
U A - Déplacement du point A
U B - Déplacement du point B.
Différents cas spécifiques du premier cas de charge (cas de montage) sont possibles :
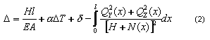
De l’équation (1), on obtient :
La valeur L est prise comme la distance entre les nœuds origine et extrémité du câble.
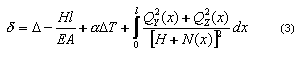
A partir de l'équation (2), on peut affecter le premier allongement D du câble, essentiel pour obtenir la force requise H :
alors, on solutionne l’équation (4) en fonction de l’effort H
et on procède à l’itération du système d’équations entier, par conséquent on obtient la valeur finale de l’effort de montage.
Elle est égale à :
.
L2 = distance (A, B)
en solutionnant l’équation (4), nous obtiendrons la valeur initiale de l’effort nécessaire pour suspendre le câble entre les appuis.
Après l’achèvement des calculs de la structure, les résultats obtenus pour les éléments câbles sont similaires aux résultats pour les éléments barres ; toutefois, quelques différences subsistent Les différences incluent :
Ces résultats sont utiles pour la conception de la phase de montage. Ils sont disponibles dans le module Résultats en sélectionnant la commande : Contraintes > Paramètres > Résultats pour les éléments câbles dans la phase de montage.
où :
N - effort agissant le long de la tangente au câble,
FX, FY, FZ - composants de l’effort N projetés en direction des axes spécifiques du repère local du câble.
Lorsqu'un cas arbitraire (I) est défini après le premier cas de montage, le comportement du câble est obtenu par la résolution de l'équation (1). L'itération d'une telle équation est exécutée selon les hypothèses suivantes :
La charge du le premier cas de charge est automatiquement ajoutée à la charge dans le cas (i)
La force de tension H est inconnue.
Rubrique connexe :