L'ajout d'une installation électrique à votre projet est facultatif. Vous pouvez créer des circuits sans installation électrique ; Revit conserve les renseignements associés au circuit.
Vous pouvez créer une installation électrique permanente à l'aide de deux méthodes au choix :
le groupe de fonctions Convertir en fil. Une fois l'installation électrique permanente créée, elle reste visible dans la vue lorsque le circuit n'est pas sélectionné.
le groupe de fonctions Electrique. Vous pouvez utiliser les propriétés des circuits pour spécifier le type de fil utilisé dans un circuit. Voir Propriétés des circuits.
Conversion d'un circuit temporaire en installation électrique permanente
Sélectionner le type d'installation électrique du circuit
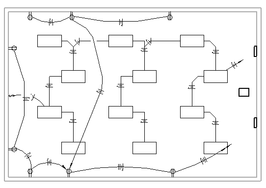
Les installations électriques en arc sont généralement utilisées pour représenter une installation électrique dissimulée dans les murs, les plafonds ou les sols.
Les installations électriques chanfreinée sont généralement utilisées pour représenter les installations électriques exposées.
Dans l'exemple suivant, l'installation en arc connecte les réceptables et l'installation chanfreinée connecte les luminaires.
