Curve Fitting

The material property input dialog box for the hyperelastic and foam material models include a Curve fit routine. The curve fit is used to determine the constants for the mathematical material model by performing a best-fit calculation of the user-supplied stress-strain data for the material. Keep in mind that no solution will fit the test data exactly! Variations in the tests and materials will produce scatter in the test data. Therefore, a high degree of precision in the curve-fitting routine is not justified in most situations. What is important is that the results of the curve-fitting routine follow the test data in the range of interest.

Each material model has options specific to its needs; some of the items described below will not be relevant depending on the material model. The general layout of the Curve Fit dialog box is shown in Figure 1 and described below.

Figure 1L: Curve Fit dialog box for Ogden (left half of dialog box)

Figure 1R: Curve Fit dialog box for Ogden (right half of dialog box)

Tabular Data Section:

This section is used to enter the known stress-strain data for the material. First, it is important to keep the following statements in mind when obtaining the test data:

The types of test data that can be entered are as follows:

Clicking any of the buttons in the Tabular Data section will bring up a new dialog box in which the stress and strain data is entered. The controls available are as follows:

Parameters Tab

Some of the material models need estimated or guessed values to start the least-square fitting routine. These parameters are entered on the Parameters tab and should be provided before attempting the curve fit. Which parameters are entered depends on the Curve-fitting method algorithm chosen on the Controls tab.

Partial linear least-squares: This search method computes all possible combinations of coefficients based on the initial guesses, and reports the combination that gives the minimum error. Since all combinations are computed, this method may take longer than the other methods, especially if a large increment value is used. Also, note that solutions outside of the range are not tested, so a solution with a smaller error may exist. If the plotted results do not fit the data, try a different range. The input is as follows:

Levenberg-Marquardt algorithm, Gauss-Newton algorithm, and Constrained Optimization: These methods start at the initial guess and locate the first minimum (slope of the error function is zero) to the best fit equations. Since there may be numerous minima when multiple variables are involved, the accuracy of the solution is dependent on the initial guesses. See Figure 2.

Error

Value

Controls Tab

Curve-fit controls Section:

The curve-fit controls are used to indicate how the test data is to be used for the curve fitting routine, such as which test data to include in the curve fit calculation, the order of the model, and the method for fitting the data.

Results of Curve-Fitting Scheme Section

The material model constants calculated by the curve fitting are shown in this section. To see the effect that the constants have on the fit to the data, change a value and choose a Type of data displayed to update the graph.

These values will be copied from the Curve Fit Material Data window to the Element Material Specification window when the OK button is clicked to close the Curve Fit Material Data window.

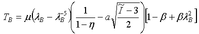
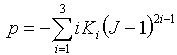
The following equations are used for the various material models:

Comparison of Input Data for Fitted Curves Section

This section displays the tabular test data and the fitted curve. Use the Type of data displayed drop-down to choose what to display in the graph. Any type that has data entered can be displayed regardless of whether that data is used in the curve-fit or not. (Naturally, data that is not used in the curve-fit routine is unlikely to have constants that fits the data very well. The fitted curve will likely not follow the tabular data very well.)

The graph is not updated automatically if the material model constants are changed manually. To update the graph, re-select the Type of data displayed.

Curve Fit Example

Let's go through an example using simple tension, equibiaxial, and pure shear test data with an Ogden material model.

  1. Set a model with brick or 2D elements to the analysis type of nonlinear (either Static Stress with Nonlinear Materials or MES with Nonlinear Material Models.) The test data is given in MPa, so the model units should be Newtons and millimeters. (1 MPa = 1 N/mm^2)
  2. Edit the element definition. Right-click Element Definition for the part and choose Edit Element Definition. Set the Material model to Hyperelastic: Ogden. Click OK.
  3. Edit the material properties. Right-click Material for the part and choose Edit Material. Choose [Customer Defined] and click Edit Properties button. If the Ogden material model constants were known, they could be entered directly. Since we have the material test data (given below), click the Curve fit button.
  4. To enter the simple tension stress-strain test data, click the Simple Tension button. Either add rows to the spreadsheet and type the data given below, or copy and paste the text below to a text file (with .CSV extension) and use Import to read in the data. Click OK when done.
  5. Enter the equal biaxial stress-strain test data in a similar fashion. Click the Equibiaxial button. Either add rows to the spreadsheet and type the data given below, or copy and paste the text below to a text file (with .CSV extension) and use Import to read in the data. Click OK when done.
  6. Enter the pure shear stress-strain test data in a similar fashion. Click the Pure-Shear button. Either add rows to the spreadsheet and type the data given below, or copy and paste the text below to a text file (with .CSV extension) and use Import to read in the data. Click OK when done.
  7. On the Controls tab, activate the check box for each of the test data.
  8. For the Ogden material model, the Curve-fitting method of Partial linear least-squares is a good starting point because it requires an estimate for just one of the parameters (the Alpha value). So choose that method from the pull-down. Leave the other settings at the defaults. Note that the Order of bulk modulus is grayed out because volumetric data was not entered.
  9. On the Parameters tab, set the Guessed Alpha, the Range value, and the Increment as follows. This will give a moderately wide range of values for the solution to use, and an increment of 20 will be a rough but good approximation for the first run without taking too long to calculate all the permutations. Note that the guess values are the defaults for the Ogden material model.
    Order Guessed Alpha Range value Increment
    1 1.2 10 20
    2 -2 10 20
    3 6 10 20
  10. On the Controls tab, click the Perform curve-fit button, and then the Fit button. The Root-mean-square error is 0.184: relatively large compared to the maximum stress. Click the Done button.
  11. Using the Type of data displayed pull-down, review the graph for each of the curve fit data (simple tension, equibiaxial, and pure shear). The curves follow the test data reasonably well (the Equibiaxial is off the most), so the constants found are the right order of magnitude.
  12. With a good estimate in hand, switch the Curve-fitting method to Levenberg-Marquardt algorithm. Then enter the guess values on the Parameters tab using the solution found previously. Since precision is not required for the estimates, the following rounded-off values will suffice:
    Order Guessed Mu Guessed Alpha
    1 -0.16 6.2
    2 4.4 0.5
    3 0.026 9
  13. On the Controls tab, click the Perform curve-fit button, and then the Fit button. The Root-mean-square error is 0.183: hardly any better than the previous fit. But, notice how this solution method is much faster than the Partial linear least-squares method.
  14. Additional trials could be performed using different initial values to find alternate minima, but it seems more productive to try a higher order model. On the Controls tab, set the Order of model to 5th and the curve-fitting method to Partial linear least-squares. Then on the Parameters tab, enter guess values as follows. Two notes. First, because the order of the model was changed, the constants found with the previous solution are generally not relevant guesses in a more efficient solution algorithm like the Levenberg-Marquardt. It is better in this case to start over with the Partial linear least-squares. Secondly, note that the increment value was lowered from before. Since the calculation is doing every combination of the first order alpha with every combination of the second order alpha and so on, a fifth order solution can quickly create a lot of calculations! The smaller increment value is used to minimize the time the curve-fitting routine takes.
    Order Guessed Alpha Range value Increment
    1 1.2 10 10
    2 -2 10 10
    3 6 10 10
    4 19 10 10
    5 1 10 10
  15. On the Controls tab, click the Perform curve-fit button, and then the Fit button. The Root-mean-square error is 0.142. As expected, each of the curves under the Type of data displayed fits the test data better. The results are shown in Figure 1. Additional trials could be performed, but considering the accuracy of the test data, this curve fit should be acceptable.

Simple Tension Test Data

0,0

0.02,0.08

0.06,0.12

0.28,0.30

0.47,0.4

0.67,0.57

0.77,0.7

0.82,0.78

0.85, 0.9

0.89, 1.0

Equibiaxial Test Data

0,0

0.02,0.14

0.06,0.25

0.12,0.4

0.28,0.6

0.43,0.8

0.57,0.95

0.65,1.16

0.72,1.4

0.80,1.72

0.89,2.4

Pure-Shear Test Data

0,0

0.02,0.08

0.07,0.2

0.20,0.37

0.59,0.71

0.73,0.92

0.83,1.1

0.89,1.28