Duncan-Chang Theoretical Description

The Duncan-Chang material model is used to simulate soil. It assumes a hyperbolic stress-strain relation and was developed based on tri-axial soil tests. Whereas the original model assumes a constant Poisson's ratio (Duncan and Chang, 1970), the revised model accommodates the variation of Poisson’s ratio by means of stress-dependent Poisson’s ratio (E-v model, Kulhawy and Duncan 1972) or stress-dependent bulk modulus (E-B model, Duncan et al. 1980).

Formulation:

Based on standard tri-axial soil test, the model approximates the stress-strain by the following hyperbolic relation:

     (1)

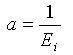
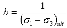
where σ1 and σ3 are the major and minor principal stresses; ε1 is the major principal strain (axial strain). It should be noted that here we follow the sign convention in soil mechanics, which is opposite to continuum mechanics. Constants a and b are calibrated from the test data and can be written as:

     (2)

where Ei is the initial tangent modulus and (σ1 - σ3)ult is the asymptotic value of the hyperbolic curve and is related to the soil strength by means of the failure ratio:

(σ1 - σ3)f = Rf(σ1 - σ3)ult     (3)

Clearly, the failure ratio Rf is always less than 1 and has been found to be between 0.75 and 1 (Duncan and Chang 1970).

     (4)

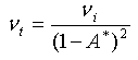
Duncan-Chang model defines the initial modulus as:

where the modulus number K and modulus exponent n are dimensionless material parameters; pa is the atmospheric pressure that is used in the formulation to eliminate unit system selection effect.

The soil failure is governed by the Mohr-Coulomb criterion:

     (5)

where c and φ are Mohr-Coulomb strength parameters. For cohesionless soils, the Mohr envelopes are usually curved and the variation can be expressed in the form:

     (6)

where φ0 is the friction angle at the unit atmospheric pressure of confining pressure σ3, and Δφ0 is the reduction in φ for a 10-fold increase in σ3.

In the incremental form, the tangent modulus can be expressed as:

Et = (1-RfS)2Ei     (7)

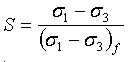
where S is the stress level, or the fraction of strength mobilized:

     (8)

When (σ1 - σ3) is less than its historical maximum, it is assumed that the soil is under unloading or reloading and the tangent modulus is defined as:

     (9)

where Kur is the unloading-reloading modulus number and is always greater than the primary loading modulus number K. The modulus exponent for unloading-reloading is same as in primary loading.

Similarly, in the E-v model (Kulhawy and Duncan 1972), the initial Poisson’s ratio can be expressed as:

     (10)

and the tangent Poisson's ratio

     (11)

where

     (12)

and D, F and G are material parameters.

In E-B model (Duncan et al. 1980), the bulk modulus is expressed as:

     (13)

where Kb and m are bulk modulus number and exponent, respectively.

Initial stress:

It is usually important to consider the initial stress state for a soil body. Currently, the software provides two types of initial stress states induced from uniform hydrostatic pressure and self weight. These initial stresses are assumed to be under static equilibrium and therefore do not contribute to the stress and strain values in the analysis, which are caused by externally applied loads. In other words, the initial stress does not change the stress results shown in the Results environment, nor do they cause any initial displacement. If this assumption not appropriate, explicitly simulate the loading history.

Stabilization:

While in a standard tri-axial compression test, the confining pressure (σ3) is always greater than zero, it can be equal to or less than zero in general finite element analyses. To obtain a numerically stable analysis, a set of initial elastic moduli is required for this case. The user can specify the value (Youngs modulus and Poisson’s ratio at rest) on the Advanced tab of the material properties. If they are not provided, they default to E0 = 0.01K*pa and ν0 = 0.499.

After failure (the stress level reaches 1), the soil effectively loses its loading capacity. A set of residual moduli is required for a stable analysis. The user can specify the value (Young’s modulus and Poisson’s ratio at failure) on the Advanced tab. If they are not provided, they default to E1 = 0.001K*pa and ν1 = 0.499. This set of values is also used as the lower limit for the elastic moduli before failure.

The simulation results can sometimes be affected significantly by the above stabilization moduli. While the elastic moduli at rest can be determined experimentally, it’s usually difficult to determine a proper failure modulus for Duncan-Chang model. However, it should be noted that Duncan-Chang model is designed to be used before failure and may be acceptable when failure is limited and localized.

Limitations:

The Duncan-Chang model is successful in analyzing many practical problems and is simple to set up with standard tri-axial compression tests. When tri-axial test results are not available, model parameters are also abundantly available in literatures. However, user should be aware of its important limitations (Duncan et al. 1980):

  1. The intermediate principal stress σ2 is not accounted for;
  2. Results may be unreliable when extensive failure occurs;
  3. It does not consider the volume change due to changes in shear stress (shear dilatancy);
  4. Input parameters are not fundamental soil properties, but only empirical values for limited range of conditions.
  5. The model is mainly intended for quasi-static analysis.

Reference:

  1. Duncan, J. M. and Chang, C. Y., Nonlinear analysis of stress and strain in soils, Journal of the Soil Mechanics and Foundations Division, ASCE, 96(SM5), 1629-1653, 1970.
  2. Kulhawy, F. H. and Duncan, J. M., Stresses and movements in Oroville Dam, Journal of the Soil Mechanics and Foundations Division, ASCE, 98(SM7), 653-655, 1972.
  3. 3. Duncan, J. M., Byrne, P., Wong, K. S. and Mabry, P., Strength, stress-strain and bulk modulus parameters for finite element analysis of stresses and movements in soil masses, Report No. UCB/GT/80-01, Dept. Civil Engineering, U.C. Berkeley, 1980.