Calcolo delle proporzioni di resistenza delle cinghie sincrone

Per ciascuna puleggia

F 2 - F 1 + F p = 0

Per la puleggia conduttrice

v v max

f b f max

F c = mv 2

F Tmax = k 1 F p + F c

F 1 = F tmax

F 2 = F 1 - F p

Per le singole pulegge condotte e di tensione

i - indice della puleggia

F Pi = P xi F p

F 1i = F 2i-1

F 2i = F 1i + F p i

dove:

per puleggia sincrona

per puleggia piatta

Per l'intera trasmissione a cinghia

La tensione di installazione della cinghia richiesta viene determinata dalle forze esercitate sulla puleggia conduttrice nel seguente modo:

Esempio di trasmissione di potenza con puleggia di tensione

Puleggia conduttrice

Puleggia di tensione piatta

Puleggia condotta

P x1 = 1

P x2 = 0

P x3 = 1

F P3 = P x3 F p

F 12 = F 21

F 22 = F 12 + F p2 = F 12

F c = m v 2

F Tmax = k 1 F p + F C

-

F 13 = F 22

F 11 = F Tmax

-

F 23 = F 13 + F p3 = F 11

F 21 = F 11 - F p

-

-

-

Significato delle variabili usate:

F p

Estrazione effettiva [N]

F 1

Tensione della cinghia sul lato di input della specifica puleggia [N]

F 2

Tensione della cinghia sul lato di output della specifica puleggia [N]

z

Numero di denti della specifica puleggia/ Numero di denti della cinghia [-]

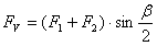
β

Arco di contatto / angolo dente dell'inclinazione laterale [gradi]

P

potenza da trasmettere [W]

P R

Livello di potenza della cinghia per lo specifico scheletro di trasmissione [W]

c L

Fattore di servizio [-]

β

Arco di contatto [gradi]

T

Momento che agisce sulla specifica puleggia [Nm]

n

Velocità della specifica puleggia [rpm]

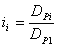
D p

Diametro primitivo della puleggia [m]

v

Velocità della cinghia [m/s]

k

Numero di pulegge nella trasmissione a cinghia [-]

L

Lunghezza del passo della cinghia [m]

P

potenza da trasmettere [W]

m

Spessore cinghia specifico per una determinata larghezza [Kg/m]

k 1

Fattore di tensione della cinghia [-]

F p

Estrazione effettiva [N]

F c

Forza centrifuga [N].

F t

Tensione minima di installazione della cinghia [N]

P xi

Rapporto di potenza della specifica puleggia [-]

D pi

Diametro primitivo della puleggia [m]

i

Rapporto di trasmissione (rapporto di velocità) della specifica puleggia [-]

T i

Momento che agisce sulla specifica puleggia [Nm]

η

Efficienza [-]

p b

Passo circonferenziale [m]

D

Diametro nominale della puleggia piatta [m]

H

Altezza della cinghia [m]

h T

Altezza del dente della cinghia [m]

a

Offset linea passo [m]

Nota: i = indice della puleggia

Concetti di base per il calcolo