Calcolo delle proporzioni di resistenza delle cinghie trapezoidali

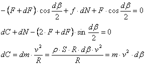
Equazioni generali utilizzate

Dove m è una massa specifica della cinghia definita come m = S ρ

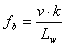
Fattore di attrito modificato della specifica puleggia

f = f g + v f mod

Equazioni fondamentali della cinghia e della puleggia conduttrice

potenza da trasmettere

Velocità cinghia

Frequenza di flessione della cinghia

Estrazione effettiva (o tensione effettiva)

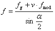
Forza centrifuga

Fc = z m v 2

Tensione nel raggi della cinghia

Nelle seguenti equazioni, l'applicazione determina per prima cosa la puleggia più sospetta che richiede la massima tensione di installazione della cinghia per trasmettere un carico. Quindi la tensione della cinghia in ogni raggio viene regolata di conseguenza per tutte le pulegge rispetto alla tensione di installazione iniziale della cinghia.

F 1i - F p P xi - F 2i = 0

Il criterio della puleggia più sospetta è la massima tensione del lato teso

F 1max = max (F 1i )

La tensione massima totale nel raggio della cinghia (per cinghia) quando la trasmissione a cinghia è a pieno carico viene determinata come

Dove l'espressione "k 1 F 1max " è la tensione massima effettiva nel raggio della cinghia considerata per tutte le cinghie nella trasmissione a cinghia. In questo modo, tutte le tensioni corrispondenti nei singoli raggi vengono ricalcolate per soddisfare le seguenti condizioni:

F 1i - F P P xi - F 2i = 0

Carico assiale risultante per ciascuna puleggia quando la trasmissione a cinghia è a pieno carico

Nota: Per le pulegge condotte e di tensione F 1 e F 2 sono invertiti nel generatore, per cui F 1 è la tensione del raggio della cinghia in input e F 2 è la tensione del raggio della cinghia in output nel senso del movimento della cinghia.

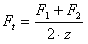
Tensione di installazione iniziale della cinghia e forza di tensione statica

La tensione di installazione iniziale della cinghia (per cinghia) può essere regolata mediante il fattore messa in tensione e determinata come segue

La forza di tensione statica F v viene determinata per ciascuna puleggia. L'applicazione calcola la forza di tensione esercitata lungo la linea d'asse del raggio della cinghia nel seguente modo:

Significato delle variabili usate:

F Forza tangenziale [N]
β Arco di contatto [gradi]
α Angolo cuneo [gradi]
C Forza centrifuga [N].
N Forza normale [N]
m Massa specifica della cinghia [kg/m]
v Velocità della cinghia [m/s]
R Raggio della puleggia [m]
S Area della sezione trasversale della cinghia [m 2 ]
T Momento che agisce sulla specifica puleggia [Nm]
D p Diametro primitivo della puleggia [m]
k Numero di pulegge [-]
P potenza da trasmettere [N]
v Velocità della cinghia [m/s]
F c Forza centrifuga [N].
F 1 Tensione del raggio della cinghia all'input per la specifica puleggia [-]
F 2 Tensione del raggio della cinghia all'output per la specifica puleggia [-]
f Fattore di attrito modificato della specifica puleggia [-]
P x Rapporto di potenza della specifica puleggia [-]
f g Fattore di attrito del materiale e della cinghia della specifica puleggia [-]

f mod

Fattore di velocità della modifica dell'attrito [s/m]
Z Numero di cinghie [-]
ρ Densità della cinghia [kg/m3]
F t Tensione di installazione iniziale della cinghia [N
F v Forza di tensione statica per la specifica puleggia [N]
k 1 Fattore di tensione della cinghia [-]
Nota: i = indice della puleggia