La lunghezza della cinghia viene determinata nel sistema di riferimento o effettivo. Per questo motivo i diametri di riferimento ed effettivo vengono determinati prima per ciascuna puleggia. La traiettoria della cinghia si basa sulla posizione delle singole pulegge. La posizione della puleggia scorrevole viene regolata in modo conforme ai criteri standard relativi alla lunghezza della cinghia. Nel calcolo viene utilizzata la soluzione dell'iterazione per trovare la posizione appropriata della puleggia scorrevole che sia la più vicina possibile a quella desiderata (o corrente).
Diametri delle pulegge
|
|
Puleggia scanalata |
|
D e = D w + 2 h w |
|
|
D p = D w + 2 a |
|
|
D d = D w |
|
|
|
Direzione in senso orario puleggia piatta |
|
D e = D + 2 h |
|
|
D p = D + 2 (h - h w + a) |
|
|
D d = D + 2(h - h w ) |
|
|
|
Direzione in senso antiorario puleggia piatta |
|
D e = D |
|
|
D p = D + 2 (h w - a) |
|
|
D d = D + 2 h w |
Esempio di trasmissione di potenza con 2 pulegge
Nell'esempio viene utilizzato un sistema di riferimento.
Arco di contatto
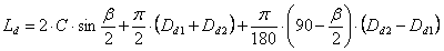
Lunghezza cinghia di riferimento
Interasse
La seguente formula è consigliata per la determinazione dell'interasse di una nuova trasmissione
0,7 (D d1 + D d2 ) ≤ C ≤ 2(D d1 + D d2 )
Significato delle variabili usate:
|
D W |
Diametro nominale (di riferimento o effettivo) [m] |
|
D e |
Diametro puleggia (esterno) effettivo [m] |
|
h w |
Altezza nominale (per il sistema effettivo h w = 0) [m] |
|
a |
Offset linea passo (per il sistema effettivo è negativo) [m] |
|
D |
Diametro nominale ed esterno della puleggia piatta [m] |
|
h |
Altezza della cinghia [m] |
|
D d |
Diametro di riferimento della puleggia [m] |
|
C |
Interasse [m] |
| β |
Arco di contatto [gradi] |
|
L d |
Lunghezza cinghia di riferimento [m] |