Parameters of a structure seismic analysis depend on a seismic code used during calculations of a structure influenced by seismic impact.
Select the US seismic code IBC 2009 (International Building Code 2009) or IBC 2012 (International Building Code 2012) in the New Case Definition dialog or click Parameters in the Analysis Types dialog.

To complete the seismic analysis according to the rules given in this code, define the following parameters.
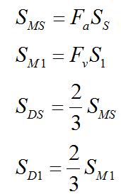
The site coefficients Fa and Fv are interpolated based on the parameters S1 and SS.
Design Spectral Acceleration Parameters are calculated from the following equations:

Click Eccentricity Definition to open the Definition of mass eccentricities dialog where you can specify how to account for the eccentricity of a mass in the seismic analysis.
Click Base Shear to open the Base shear dialog. There you can select how to take account of the base shear force: calculate it according to the provisions of the seismic code ASCE 7-05 Section 12.8 or specify it.
In the lower part of the dialog, the Direction definition and Filters buttons are located.
The details concerning this structure analysis method can be found in the mentioned code.