Il vano sopra un controsoffitto può essere utilizzato come vano tecnico per l'aria di ritorno. A differenza di un tradizionale ritorno con condotto, il percorso in un vano tecnico può presentare varie fonti di calore, ovvero carichi radianti e convettivi dovuti ad apparecchi di illuminazione e trasformatori, carichi per conduzione da muri, tetti o vetrate adiacenti, oppure sistemi di condotti e tubazioni nel vano tecnico.
Le seguenti equazioni mostrano come vengono calcolate le temperature e lo scambio termico per vani tecnici nel motore:
(35)
(36)
(37)
(38)
(39)
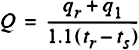
dove
= incremento di calore dal vano tecnico al vano attraverso il controsoffitto, Btu/h
= perdita di calore dal vano tecnico attraverso il pavimento superiore, Btu/h
= assorbimento di calore tramite l'aria di ritorno, Btu/h
= flusso d'aria di ritorno, Btu/h
= incremento di calore da luce al vano tecnico mediante l'aria di ritorno, Btu/h
= incremento di calore al vano dovuto all'illuminazione, Btu/h
= incremento di calore dal vano tecnico sottostante, attraverso il pavimento, Btu/h
= incremento di calore dal muro esterno, Btu/h
= carico di raffreddamento del vano, incluso il trattamento appropriato di
,
e/o
, Btu/h
= temperatura del vano tecnico, °F
= temperatura del vano, °F
= temperatura del pavimento superiore, °F
= temperatura dell'aria di mandata, °F

Diagramma di schema di un tipico vano tecnico con aria di ritorno