概要 - 角度観測計算式のジオメトリ
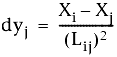
各観測の座標の変更は、次の角度観測式のテイラー級数近似で表現されます。
各変数は、次のとおりです。
Lij = 観測された線分 IJ の長さ
Lik = 観測された線分 IK の長さ
Lik = 観測された線分 IK の長さ
Xi, Yi = ポイント 1 の最も可能性の高い座標
Xj, Yj = ポイント J の最も可能性の高い座標
Xk, Yk = ポイント K の最も可能性の高い座標
次の図に、角度観測計算式のジオメトリを示します。
親トピック:
最小二乗法の公式
関連概念
概要 - 最小二乗法のアルゴリズム
概要 - 水平測量調整
概要 - 距離観測式のジオメトリ
概要 - 方位角/方位観測計算式のジオメトリ
概要 - 加重観測
概要 - カイ二乗値と適合度テスト
概要 - 標準偏差の計算
概要 - エラー長方形とエラー楕円
概要 - 標準エラー長方形および楕円のジオメトリ