ベルトの長さはデータム システムまたは有効システムで決定します。このため、各プーリでまずデータム径または有効径を決定します。ベルトの軌道は個々のプーリ位置に基づきます。プーリのスライド位置を調整し、標準ベルト長さ条件に合致するようにします。計算は解法を繰り返すことで行われ、プーリの望ましい(または現在の)スライド位置に最も近い、プーリの適切なスライド位置を求めます。
プーリ直径
|
|
溝付きプーリ |
|
D e = D w + 2 h w |
|
|
D p = D w + 2 a |
|
|
D d = D w |
|
|
|
平プーリ右回り |
|
D e = D + 2 h |
|
|
D p = D + 2 (h - h w + a) |
|
|
D d = D + 2(h - h w ) |
|
|
|
平プーリ左回り |
|
D e = D |
|
|
D p = D + 2 (h w - a) |
|
|
D d = D + 2 h w |
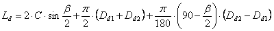
2 つのプーリでの動力伝達の例
この例ではデータム システムを使用します。
接触弧
データム ベルトの長さ
中心距離
次の式は新しい駆動の中心距離を求めるのにお勧めできます。
0.7 (D d1 + D d2 ) ≤ C ≤ 2(D d1 + D d2 )
使用される変数の意味:
|
D W |
呼び径(データムまたは有効) [m] |
|
D e |
有効(外側)プーリ直径[m] |
|
h w |
呼び高さ(有効システムの場合、h w = 0) [m] |
|
a |
ピッチ線オフセット(有効システムの場合、負数) [m] |
|
D |
平プーリの呼び径および外径[m] |
|
h |
ベルト高さ[m] |
|
D d |
プーリ データム径[m] |
|
C |
中心距離[m] |
| β |
接触弧[度] |
|
L d |
データム ベルトの長さ[m] |