伝達トルク
ここで
|
P |
伝動力[kW] |
|
|
n |
速度 [rpm] |
最小軸径の計算
1. 軸内径 d h > 0
a)
b) d min ≤d h -> d min = 1.1 d h [mm]の場合
c) d min ≤ 1.5 d h -> d min = 1.5 d h [mm]の場合
2. 軸内径 d h = 0

ここで
|
d min |
軸の最小直径[mm] |
|
|
d h |
軸の内径[mm] |
|
|
T |
トルク[Nm] |
|
|
K a |
適用係数 |
|
|
K f |
疲れ寿命係数 |
|
|
S v |
必要な安全性 |
|
|
τ A |
許容せん断応力 |
一般的な計算
|
|
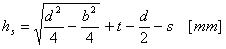
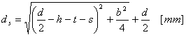
軸への力の作用の範囲 |
|
h k = h - h s - 2 s [mm] |
ハブへの力の作用の範囲 |
![]() |
力の作用の範囲の軸径 |
![]() |
力の作用の範囲のハブ直径 |
|
|
軸への力 |
|
|
ハブへの力 |
|
ここで |
|
T |
トルク[Nm] |
|
|
F s |
軸への力[N] |
|
|
F h |
ハブへの力[N] |
|
|
K a |
適用係数 |
|
|
K f |
摩耗寿命係数 |
|
|
K w |
適用係数 |
|
|
K m |
荷重分布係数 |
|
|
S v |
必要な安全性 |
|
|
d |
軸径[mm] |
|
|
d s |
力 F s が作用する軸径[mm] |
|
|
d h |
力 F d が作用する軸径[mm] |
|
|
N |
溝の数[-] |
|
|
h |
溝の高さ |
|
|
h s |
軸への力の作用点の高さ[mm] |
|
|
h h |
ハブへの力の作用点の高さ[mm] |
|
|
b |
溝の幅 |
|
|
t |
軸における溝の深さ[mm] |
|
|
s |
面取り |
|
|
p Dmins |
最小許容圧力(溝、軸) [MPa] |
|
|
p Dminh |
最小許容圧力(溝、ハブ) [MPa] |
トルク伝達の最小キー長さ
|
1. 固定接続 |
a) |
|
b) |
|
|
L min = min(L mins , L minh ) |
|
|
2. フレキシブルな接続 |
a) |
|
b) |
|
|
L min = min(L mins , L minh ) |
|
|
ここで |
|
F s |
軸への力[N] |
|
|
F h |
ハブへの力[N] |
|
|
K a |
適用係数 |
|
|
K f |
摩耗寿命係数 |
|
|
K w |
適用係数 |
|
|
K m |
荷重分布係数 |
|
|
S v |
必要な安全性 |
|
|
d |
軸径[mm] |
|
|
N |
溝の数[-] |
|
|
h s |
軸への力の作用点の高さ[mm] |
|
|
h h |
ハブへの力の作用点の高さ[mm] |
|
|
p Dmins |
最小許容圧力(溝、軸) [MPa] |
|
|
p Dminh |
最小許容圧力(溝、ハブ) [MPa] |
最小許容圧力
|
1. 固定接続 |
a) |
|
b) |
|
|
2. フレキシブルな接続 |
a) |
|
b) |
|
|
ここで |
|
F s |
軸への力[N] |
|
|
F h |
ハブへの力[N] |
|
|
K a |
適用係数 |
|
|
K f |
摩耗寿命係数 |
|
|
K w |
適用係数 |
|
|
K m |
荷重分布係数 |
|
|
S v |
必要な安全性 |
|
|
d |
溝の断面の内径 [mm] |
|
|
N |
溝の数[-] |
|
|
h s |
軸への力の作用点の高さ[mm] |
|
|
h h |
ハブへの力の作用点の高さ[mm] |
|
|
l f |
有効なキーの長さ[mm] |
強度チェック
p mins ≤ p Ds
p minh ≤ p Dh
ここで
|
p mins |
軸における計算された最小せん断圧力[MPa] |
|
|
p minh |
ハブにおける計算された最小せん断圧力[MPa] |
|
|
p Ds |
軸における許容圧力[MPa] |
|
|
p Dh |
ハブにおける許容圧力[MPa] |
簡易計算
トルク伝達の最小キー長さ
|
1. 固定接続 |
![]() |
|
2. フレキシブルな接続 |
![]() |
|
ここで |
|
T |
トルク[Nm] |
|
|
K a |
適用係数 |
|
|
K f |
摩耗寿命係数 |
|
|
K w |
適用係数 |
|
|
K m |
荷重分布係数 |
|
|
S v |
必要な安全性 |
|
|
d |
軸径[mm] |
|
|
N |
溝の数[-] |
|
|
h |
溝の高さ |
|
|
s |
面取り |
|
|
h st |
接続高さ h st = h - 2 s [mm] |
|
|
p Dmin |
軸、溝、またはハブのサーフェスを支える許容圧力[MPa] |
許容圧力
|
1. 固定接続 |
![]() |
|
2. フレキシブルな接続 |
![]() |
|
ここで |
|
T |
トルク[Nm] |
|
|
K a |
適用係数 |
|
|
K f |
摩耗寿命係数 |
|
|
K w |
適用係数 |
|
|
K m |
荷重分布係数 |
|
|
S v |
必要な安全性 |
|
|
d |
軸径[mm] |
|
|
N |
溝の数[-] |
|
|
h |
溝の高さ |
|
|
s |
面取り |
|
|
h st |
接続高さ h st = h - 2 s [mm] |
|
|
l f |
有効なキーの長さ[mm] |
強度チェック
p min ≤ p Ds
p min ≤ p Dh
ここで
|
P min |
計算された最小 h/2 圧力[MPa] |
|
|
p Ds |
軸における許容圧力[MPa] |
|
|
p Dh |
ハブにおける許容圧力[MPa] |