Reduced Strain Closure (RSC) モデルは、繊維配向解析実行時の繊維配向計算オプションです。

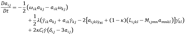
は繊維配向テンソル
は渦度テンソル、
は変形速度テンソル
は 繊維相互作用係数というスカラー現象論的パラメータで、実験結果へのフィッティングにより求める値。この項は、繊維間相互作用を説明するために、元の Jeffery 式に追加された。 
によって低減される。
は、次に置き換えられる。 
、および
は次のように定義されます。 

ここで、
は p番目の配向テンソルの固有値
、
は i番目のコンポーネント (p 番目の配向テンソルの固有値
)です。
スカラー係数
は現象論的パラメータで、
は遅延配向ダイナミックスをモデリングするために使用します。スカラー係数
が低いほど、流動とともに発達する配向テンソルは低速で、配向コア層はより厚くなります。また、
= 1 の場合、RSC モデルは元の Folgar-Tucker モデルまで低減されます。
J. Wang, J.F. O’Gara, and C.L. Tucker III, An Objective Model for Slow Orientation Dynamics in Concentrated Fiber Suspensions: Theory and Rheological Evidence. Journal of Rheology, 52(5):1179-1200 (2008).