冷媒粘度モデル

冷媒の粘度、流量、およびレイノルズ数は相関性があります。

冷媒粘度モデルは、次の方程式で計算されます。

ここで、

流量、レイノルズ数、粘度の関係

流量と粘度の関係は、パイプ内の非圧縮性粘性流の理論(ダルシー ワイスバッハの式から始まる理論)によって計算できます。

ここで、

に 上記の値をそれぞれ代入すると、次のような方程式が得られます。

上記の方程式における摩擦係数、 は、レイノルズ数 に関係しています。レイノルズ数が低い場合は、次のようになります。 :

レイノルズ数の範囲が高い場合、レイノルズ数は で算出されます。摩擦係数は

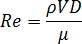
です。ここで

レイノルズ数 は粘度 に関連し、 次の計算式によって算出されます。