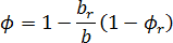
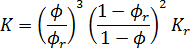
繊維マットの空隙率と浸透率は、リアクティブ成形解析における充填パターンに影響を与えます。
プリフォームの空隙率は、次の方程式で表されます。 ここで、
プリフォームの浸透率は、次の方程式で表されます。 ここで、 は透水係数