スワッピング

スワッピングは、2 個のマーカーが交差するか近くを通過したときに起こることがあります。2 個のマーカーの軌跡がキャプチャ装置によって間違って認識され、間違ったデータ セグメントがそれぞれのマーカーにラベル付けされます。

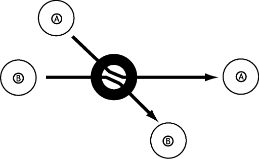
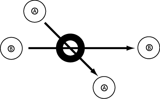
たとえば、どのようにスワッピングが発生するのかを次の図に示します。

センサ A と B が、カメラの前で交差してまっすぐな軌跡を続けている

センサ A と B が、カメラの前で交差して反対側の軌跡に向きを変えている

最初の図では、実際に何が起こったのかを示し、2 番目の図はこれらのマーカーがキャプチャ装置によってどのように間違って認識されるのかを示しています。