SST k- ω乱流モデル

SST k- ω乱流モデルは、多くの空気力学アプリケーションで使用される、2 方程式渦粘性モデルです。これは、Wilcox の k- ωモデルと k- εモデルを組み合わせたハイブリッド モデルです。ブレンド関数(F1)は、壁面近傍の Wilcox モデルと自由流の k- εモデルを有効にします。これにより、適切なモデルが流れ場全体にわたって使用されるようになります。

SST k- ω支配方程式

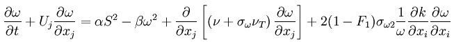
乱流運動エネルギー

固有の消失率

F1 (ブレンド関数)

注: F1 = 1 の場合は境界層内部で、0 の場合は自由流です。

CDkw

動渦粘性係数

F2 (2 番目のブレンド関数)

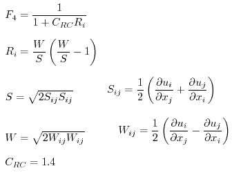
P K (プロダクション リミッタ)

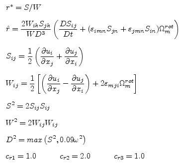
SST k-ω RC モデル

SST モデルの Smirnov-Mentor 回転/曲率フォームでは、積項「P」は関数によって乗算されます。

ここで、

そのほかの関数は次のように定義されます。

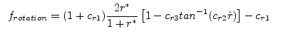
SST モデルの Hellsten 簡易回転/曲率フォームでは、破壊項は次の関数によって乗算されます。

ここで、

SST k- ωに関する追加の注意事項

  1. SST モデルは、他の乱流モデルほど自由流の状態(境界層の外側の流れ)に対する敏感性を示しません。
  2. せん断応力リミッタは、k- ωモデルでのよどみ点付近の過度な乱流運動エネルギーの堆積の回避に役立ちます。
  3. SST モデルでは、SAS や層流と乱流の変化などのその他の拡張機能用のプラットフォームを提供します。

高度なパラメータ

[アドバンスト乱流パラメータ]ダイアログ ボックスには、K- ωモデル用の追加オプションが含まれています。

[インテリジェント壁の定式化]

[インテリジェント壁の定式化]は、壁に沿ったメッシュ細分割のレベルにまで結果の敏感性を緩和します。これは、SST k- ωでは既定で有効になります。

[非近接場 TKE]および[非近接場ω]

これらの項は、乱流強度と回転速度の境界条件の値を定義します。

L は、領域のおおよその長さです。

結果の自由流乱流粘性係数(これら 2 つの値の組み合わせ)は、10-5 ~ 10-2 に自由流層流粘性係数を乗じた値である必要があります。

出典

http://www.cfd-online.com/Wiki/SST_k-omega_model

http://turbmodels.larc.nasa.gov/sst.html