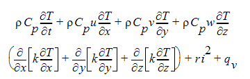
ジュール発熱

オーム発熱またはジュール発熱を検討する場合、非圧縮性流れに対して以下のエネルギー方程式が適用されます。

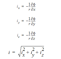
ここで、 i は電流密度の大きさ、 r は抵抗率(材料プロパティ)です。この方程式に加え、オームの項 ri2 の電流を特定するための方程式も解かれなければなりません。これには、電位の方程式が使用されます。

ここで、Φは電位であり、電流は以下のように求められます。

これらの方程式において使用される変数の定義を??表に示します。

変数 説明(SI 単位系)
Cp 定圧比熱(J/kg-K)
i 電流密度(amps/m2)
k 熱伝導率(W/m-K)
qv 体積発熱源(W/m3)
r 抵抗率(Ohm-m)
T 温度(K)
t 時間(s)
u X方向の速度成分(m/s)
v Y方向の速度成分(m/s)
w Z方向の速度成分(m/s)
密度(kg/m3)
電位(Volts)

エネルギー方程式に対する境界条件には、通常の温度、熱伝導率、熱流束、外部の熱源に対する放射率を指定します。電位方程式上の境界条件として、電位および電流を指定しなければなりません。

注: 抵抗率は Autodesk® CFD 解析モデル内の全材料に指定しなければなりません。