真空状態の流れ(圧力の下限)

Autodesk® CFD は、ナビエストークス(N-S)方程式の数値解を提供します。このN-S方程式は、流体が連続であることを仮定しています。真空状態や非常に圧力の低い状態での流れでは、流体は連続体ではなく、個々の気体分子の運動を考慮しなければなりません。この仮定は、流体の平均自由行程が特性長さの10倍以下の場合には、計算精度が大幅に低下する結果となります。

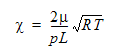
平均自由行程の特性を表すには、次のように定義される無次元の値、 を使用します。

文字の定義は、以下の通りです。

文字 解説
無次元バキューム数
粘性係数
p 静圧
L 代表長さ(水力直径)
R ガス定数 <:so>がすていすう
T 温度

ナビエストークス方程式を流れに適用できる の範囲を、次の表に示します。

範囲 流れの状態
< 0.014 流れは連続的で、ナビエストークス方程式に支配されます。
0.014 < <1.0 固体表面で滑りが発生するが、まだナビエストークス方程式で記述可能な範囲です。
>1.0 連続体であるとは言えず、ナビエストークス方程式では表現できません。
注: 工業的用途の場合、真の真空状態はほとんどありません。このような流れの環境を作成するために必要となる物理的要件(コンプレッサポンプやシールなど)は、非常に厳密であるためほとんどの工業的用途において実用的ではない。このため、真空が実際に存在するか、または近似が満たされているかを理解するため、注意深く状態を評価することが推奨されます。