このページで説明する結果オプションは、次の 3 つのリボン タブのいずれかに配置されています。
次に示すのは、[荷重ケース オプション]パネルで選択可能なボタンの定義および使用方法です。このサブメニューは、現在のモデルに複数の荷重ケースが設定されている場合のみ使用できます。
動的解析における荷重ケースおよび時間ステップは、同義語と考えることができます。すなわち、これらは特定の荷重の組み合わせを適用した、または特定の瞬間における結果セットを表します。
[自動的に進む]コマンドが有効になっているときは、新しい結果が計算されると結果が更新されます。このコマンドをオフにしたり別の荷重ケースを選択したことによりコマンドが無効になっている場合は、新しい結果が計算されてもその結果は表示されません。
解析ウィンドウが開いているときは、たとえ解析自体が完了している場合でも解析が進行中であるとみなされます。
応答スペクトル解析の結果を表示する際、計算方法が[NRC Reg. [Guide 1.92]または[修正方法]のいずれかの場合は、[結果オプション]
[解析指定]
[スペクトル成分]を使用できます。スペクトル荷重方向([解析パラメーター]の X、Y、Z の方向因子)および固有振動数については、それぞれで個別の結果が得られます。[スペクトル成分]コマンドでは表示される荷重方向を、[結果コンター]
[荷重ケース オプション]では表示される固有振動数を設定できます。
このコマンドを使用できるのは、応答スペクトル解析、ランダム応答解析、および衝撃解析(DDAM)を実行する場合のみです。既定ではこのコマンドは有効になっていて、解析で使用される全固有振動数の結果が表示されます。固有振動数を個別に表示するには、このコマンドを無効にします。各固有振動数が、それぞれ独立した荷重ケースとして表示されるようになります。
このコマンドは、周波数応答解析でのみ使用できます。適用する各周波数について、同相、異相、または SRSS (二乗和平方根)での結果を表示するように選択できます。
[結果を平滑化]は、表示されるモデルについて、より滑らかな形状で色もスムーズに遷移するように生成されるようにするためのコマンドです。応力など要素ベースの結果の場合、節点での値は各要素で独立して計算されます。そのため、要素の境界にステップの変化や不連続が存在する可能性があります。この差は、FEA プロセスでは当然発生するものです。実際の応力は、節点の全応力の平均にある程度近似している場合があります。[結果を平滑化]コマンドではまさにこの処理が行われます。つまり、このコマンドは隣接する要素間の結果の平均を出し、節点でその平均を表示します。
この方法は、モデルが連続的である場合に適していますモデルにステップの変化(たとえば、プレート要素の厚さの変化)がある場合は、異なるパーツ間の境界における応力を平均化すべきではありません(既定では平均化されません)。
[結果を平滑化]コマンドが有効になっていない場合、データは加工されずに表示されるので、各節点に複数の結果が存在することになります(節点に接続されている各要素につき 1 つの結果が存在するため)。
節点ベースの結果(変位、温度、速度など)の場合は、1 つの節点に値が 1 つしかないため、[結果を平滑化]コマンドを使用しても効果はありません。
このコマンドを選択すると、[平滑化オプション]ダイアログが表示されます。
[設定]
[結果を平滑化]を無効にすることと同じです。 [演算子を適用する前に平滑化]ボックスがオンになっていない場合は、次の順序で計算が実行されます。
[演算子を適用する前に平滑化]ボックスがオンになっている場合は、最後の 2 つの計算の順序が入れ替わります。
この計算では、基の結果において、1 つの節点を共有する複数要素間に急激な変化があると、著しく異なる結果が得られる可能性があります。たとえば、2D 応力解析から次の結果が得られたとします。この 2 つの要素は、共通の節点番号 21 で連結しています。
| 応力値 | 要素 10、節点 21 | 要素 11、節点 21 | 平均値 |
|---|---|---|---|
| 応力 YY | 1,635.8 | 362.5 | 999.2 |
| 応力 ZZ | 425.7 | 8.8 | 217.3 |
| せん断 YZ | -294.4 | 534.1 | 119.9 |
| フォンミーゼス | 1,555.9 | 992.0 | 1,274.0 |
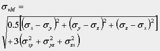
平均平滑化関数を使用し、演算子を適用した後に平滑化が行われるように([演算子を適用する前に平滑化]をオフに)設定した場合、フォンミーゼス応力の計算に対する最終結果は、2 つのフォンミーゼス応力の平均、すなわち 0.5*(1,555.9+992.0) = 1,273.9 となります。[演算子を適用する前に平滑化]をオンにした場合は、応力テンソルの平均値を使ったフォンミーゼスの式で求められます。すなわち
= 933.6 となります。この仮想モデルは、隣接する要素間に大きな応力変化があるため、メッシュを細分化する必要があります。隣接する要素間の基本の結果で大きい不連続がない領域では、[演算子を適用する前に平滑化]を有効にしても、描画された結果に大きな変化は見られません。テンソルまたはベクトルのスカラー、つまり個々の成分を描画する場合、[演算子を適用する前に平滑化]チェック ボックスの設定が描画に影響することはありません。パフォーマンスが若干低下するだけです。
安全係数の計算について、降伏応力が 2000 だとします。演算子を適用した後に平滑化を行う場合は、求める安全係数はそれぞれの安全係数の平均、すなわち 0.5*(2000/1555.9+2000/992.0) = 1.65 となります。演算子を適用する前に平滑化を行う場合は、最初にこの応力の成分が平滑化され、次に 1 つのフォンミーゼス応力が計算され、その後安全係数の値が 2000/933.6 = 2.14 として求められます。
別の例として、ある節点熱源があり、この節点を共有する異なる 2 つの要素を通って熱が反対方向に同じ速度で直接流れ出る仮想モデルを考えてみます。(熱流束はベクトルの結果であることを頭に入れておきます。)ここでは、各ベクトル成分に対する演算はその大きさをとることです。演算子を適用した後に平滑化を行う場合、熱流束の大きさの平均は正の値 X になります(各ベクトルの大きさを計算してから平均を出します)。一方、演算子を適用する前に平滑化を行う場合はゼロになります(大きさが等しく方向が反対の 2 つのベクトルの平均を求めてから大きさを計算します)。
下の表は、これらの例をまとめたものです。
| 演算子を適用した後に平滑化 | 演算子を適用する前に平滑化 | |
|---|---|---|
| ミーゼス応力<so>みーぜすおうりょく |
|
ただし、6 つの応力成分はすべて平滑化されています。 |
| 安全係数 |
|
|
| 熱流ベクトルの大きさ |
|
|
同様に、[演算子を適用する前に平滑化]は、1 つの節点での符号の異なる基の値に対して絶対値演算子を使用する場合や、主応力の値は類似するがその方向が異なるテンソルに対してフォンミーゼス演算子を使用する場合に、大きく影響する可能性があります。
このコマンドをオンにすると、コンターの絶対値が表示されます。[結果を平滑化]コマンドを使用している場合は、各節点での平滑化処理に絶対値が使用されます。
このコマンドが有効になっている場合、応力表示値が最大の節点に従って要素のコンター図が作成されます。このコマンドは、[絶対値]コマンドとともに使用できますが、[平滑化オプション]コマンドが有効になっている場合は使用できません。
このコマンドが有効になっている場合、選択した応力コンターの安全係数が表示されます。安全係数は、実際の応力に対する許容応力の比率です。安全係数 1 は、応力が許容限界にあることを表します。安全係数が 1 より小さいと破壊が生じ、1 より大きければ許容可能な解析であることを表します。許容応力は、[許容応力値を設定]コマンドを使用してパーツごとに割り当てることができます。
[演算子を適用する前に平滑化]オプションの設定が安全係数の計算にどのように影響するかの詳細については、「平滑化オプション」のセクションを参照してください。
このコマンドを選択すると、[許容応力値]ダイアログが開いて、各パーツが 1 行ごとに表示されます。値を指定する際は、[許容応力]列に値を入力するか、[降伏応力をロード]または[極限応力をロード]ボタンをクリックして材料ライブラリから値をロードします。値がない場合は、許容応力は 0 (ゼロ)に設定されます。許容応力が 0 に設定されたパーツは、安全係数の計算から除外されます。
このコマンドが有効になっている場合は、変位モデルが既定の尺度で表示されます。この尺度は、[変位したモデルのオプション]コマンドを使用して変更できます。
このコマンドを選択すると、[変位モデルの表示オプション]ダイアログが表示されます。
[表示設定]
[透明度レベル]を使用して設定できます。 このコマンドを選択すると、値が等しい結果の位置を結んだ等値線として、現在の結果コンターが表示されます。等値線の設定は、[等値図オプション]コマンドを選択することで変更が可能です。
このコマンドを選択すると、値が等しい結果の位置を結んだ等値面として、現在の結果コンターが表示されます。等値面の設定は、[等値図オプション]コマンドを選択することで変更が可能です。
このコマンドを選択すると[等値図オプション]ダイアログが開きます。このダイアログで、モデルの等値線および等値面の両方の設定ができます。
[表示設定]
[透明度レベル]を使用して設定できます。 特定の値の等値線または等値面が 1 つだけ表示されるようにするには、[増分数]フィールドの[単一]ラジオ ボタンを選択してから、[ベースの値]フィールドの[指定]ラジオ ボタンを選択し、横にあるフィールドに値を入力します。
現在の表示の最大値と最小値を基準にして等間隔で等値線または等値面を表示させるには、[増分数]領域の[現在の範囲の増分]ラジオ ボタンを選択し、その横のフィールドで、生成する等値線または等値面の数を指定します。最大値と最小値の差が、指定した値で除算されます。この商の分だけ間隔をあけて等値線または等値面が生成されます。[ベースの値]領域で[現在の結果の最小値]または[現在の結果の最大値]ラジオ ボタンを選択した場合は、等値線または等値面は最小値で開始し、最大値で終了します。[指定]ラジオ ボタンを選択した場合は、その横のフィールドに入力された値で等値線または等値面が表示されます。残りの等値線または等値面は、その値より大きいまたは小さい一定の間隔で生成されます。
生成された等値線または等値面の間隔を指定するには、[増分数]領域の[増分値]ラジオ ボタンを選択し、その横のフィールドに間隔を入力します。最初の等値線または等値面を最小値で描画し、残りの等値線または等値面をその値よりも大きい一定の間隔で描画するには、[ベースの値]領域の[現在の結果の最小値]を選択します。最初の等値線または等値面を最大値で描画し、残りの等値線または等値面をその値よりも小さい一定の間隔で描画するには、[ベースの値]領域の[現在の結果の最大値]を選択します。最初の等値線または等値面を特定の値で描画し、残りの等値線または等値面をその値よりも大きいまたは小さい一定の間隔で描画するには、[ベースの値]領域の[指定]ラジオ ボタンを選択し、その横のフィールドに値を入力します。
このコマンドを選択すると、[一般表面接触オプション]ダイアログが表示されます。
このコマンドは、構造解析でのみ使用できます。
このコマンドは、構造解析でのみ使用できます。このコマンドを選択すると、[厚肉/薄肉 複合材オプション]ダイアログが表示されます。
このコマンドは、応力解析でのみ使用できます。このコマンドが有効になっている場合に、[結果コンター]
[応力]
[テンソル]または[結果コンター]
[ひずみ]
[テンソル]を選択すると、要素のローカル座標系にそれぞれ応力テンソルまたはひずみテンソルが表示されます。
要素のローカル座標系に結果が表示されるとき、凡例には、X 方向に対して 1、Y 方向に対して 2、Z 方向に対して 3 が表示されます。たとえば、[結果] > [応力] > [応力テンソル] > [XY]を選択した場合、せん断応力はローカル座標系の 1-2 に表示されます。
要素のローカル結果の方向は、要素のタイプに応じて異なります。次に示す表および図を参照してください。それぞれの図では、3 節点要素と 4 節点要素が示されています。エッジ j-k およびエッジ i-l 上にある点は各エッジの中央にあり、線形静解析のローカル軸 1 (複合要素についてはローカル軸 a)を定義するために使用されています。非線形応力の場合は、ローカル軸 1 (複合要素についてはローカル軸 a)はエッジ i-j と平行です。次に、ユーザ定義の要素標準点により、軸 3 の方向が決まります。2D 要素では、ローカル軸 3 は常に全体座標系の +X 方向にあります。さらに、右手の法則により、ローカル軸 2 (複合要素についてはローカル軸 b)の方向が決まります。
[表示]
[要素方向]コマンドを使用して、要素の方向を結果環境で表示することができます。複合要素の場合、要素方向では軸 a-b-c が表示され、その他の要素タイプの場合は、軸 1-2-3 が表示されます。下の図を参照してください。 | 要素タイプ | 要素のローカル結果が表示される座標系 |
|---|---|
| 線形 2D | 要素座標系(1-2-3)。図 1 を参照。 |
| 線形膜 | 要素座標系(1-2-3)。図 2 を参照。 |
| 線形プレート | 要素座標系(1-2-3)。図 3 を参照。 |
| 線形および非線形ブリック | 全体座標系(X-Y-Z)。 |
| 線形および非線形 4 面体。 | 全体座標系(X-Y-Z)。 |
| 線形薄肉/厚肉複合材 | 層(繊維)座標(1-2-3)。図 4 を参照。 |
| 非線形 2D、膜、およびシェル | 要素座標系(1-2-3)。図 5 を参照。 |
| 非線形複合材 | 層(レイヤまたは繊維)座標(1-2-3)。図 6 を参照。 |
| 表 1: 要素のローカル結果の方向 | |
図 1: 線形 2D 要素の要素のローカル結果
図 2: 線形膜要素の要素のローカル結果
図 3: 線形プレート要素の要素のローカル結果
図 4: 線形複合要素の要素のローカル結果(1-2-3 方向)
要素のローカル軸(a-b-c)は、辺 i-j-k-l が基になっています。積層または材料の軸(x-y-z)は、要素の軸(a-b-c)から α 度回転されます。(材料軸は、[一般]タブの[要素定義]で設定できます。)薄層軸(1-2-3)は、積層軸から ϑ 度回転されます。軸 1 は、各層の繊維と平行です。(層の軸は、[積層物]タブの[要素定義]で[回転角]を使用して設定します。)
図 5: 非線形要素の要素のローカル結果
2D、膜、およびシェル(複合材を除く)。ローカル軸 1 は、辺 i-j と平行です。
図 6: 非線形複合要素の要素のローカル結果(1-2-3 方向)
要素のローカル軸 aは、辺 i-j と平行です。積層または材料の軸(x-y-z)は、要素の軸(a-b-c)から b 度回転されます。(材料軸は、[一般]タブの[要素定義]で設定できます。)薄層軸(1-2-3)は、積層軸から a 度回転されます。軸 1 は、各層の繊維と平行です。(層の軸は、[複合材料]タブの[要素定義]で[回転角]を使用して設定します。)
このコマンドは非線形解析でのみ使用でき、要素結果(応力、ひずみ)に適用されます。
このコマンドを有効にすると、角の節点での結果ではなく、ガウス点での計算結果が表示されます。(角の節点に最も近いガウス点のみが表示されます。)
このコマンドは、構造解析でのみ使用できます。このコマンドを使用すると、移動方向または拘束により制限される自由度に基づくそれらの拘束を表示することによって、モデルの境界条件をすぐに確認できます。拘束により制限された自由度に対応する自由度のチェック ボックスを正しくオンにした場合は、拘束の記号として 3 角形が表示されます。拘束の自由度の制限に対応する自由度のチェック ボックスの一部をオンにした場合は、拘束の記号として円が表示されます。拘束に対応するチェック ボックスをすべてオフにした場合は、拘束は記号で表示されません。既定では、すべてのチェック ボックスがオンになっていて、すべての使用可能な自由度に制限をかける拘束が 3 角形で表示されます。
たとえば、ある拘束は X 方向および Y 方向の並進を固定し、もう 1 つの拘束は X 方向のみ固定するとします。[Y 並進]チェック ボックスのみをオンにした場合、1 番目の拘束は円として表示され、2 番目の拘束は表示されません。[X 並進]を選択した場合は、1 番目の拘束は 3 角形として表示され、2 番目の拘束は円として表示されます。