Ogden 材料の特性

この材料モデルは、2D、ブリック、4 面体、膜、およびシェル要素に使用できます。Ogden 材料モデルは、3 つの材料定数を持つ超弾性材料モデルです。[要素の材料指定]ダイアログで[カーブフィット]ボタンをクリックすると、実験から得られた応力-ひずみデータを入力でき、このデータを基に 3 つの材料定数が計算されます。このソフトウェアでは、最大 6 次の Ogden 材料をサポートしています。Ogden 材料の特性については下記を参照してください。これらの特性に加えて、一部の等方性材料特性の定義が必要になる場合があります。

カーブ フィッティング ルーチンを使用するには、[要素の材料指定]ダイアログの[カーブ フィット]をクリックします。このルーチンは、応力-ひずみ測定データを使用して材料定数を計算します。

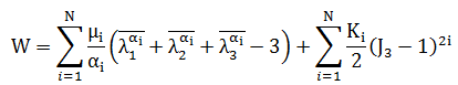
Ogden 材料のポテンシャル関数は次のとおりです。

N=2、α1=2、および α2=-2 の場合、Mooney-Rivlin 材料モデルが取得されます。 N=1 および α1=2 の場合、Ogden モデルは Neo-Hookean 材料モデルに退化します。Ogden 形式の初期せん断弾性率 µ0 は、次のようにすべての係数によって決定します。

ここで、μiαi > 0、i = 1,..,N となります。

初期体積弾性率は次のように得られます。

k0 = K1

参考資料:

[1] R.W.Ogden et al, Fitting hyperelastic models to experimental data, Computational Mechanics 34 (2004) 484-502.

[2] L.R.G. Treloar, Stress-strain data for vulcanized rubber under various types of deformation, Trans. Faraday Soc. (40) 59-70.

材料特性: