線形結果

注: [結果コンター]タブの多くコマンド、およびこのページで説明した使用できる結果タイプは、線形および非線形構造解析どちらにも同様に適用できます。非線形解析に固有の項目については、「非線形解析結果」ページを参照してください。

なし

このオプションを選択すると、モデルから結果コンターが削除され、シェーディングおよびメッシュ ラインに対して既定の色が使用されます。

変位

このオプションを選択すると、モデルに変位がカラー表示されます。使用できるコマンドは次のとおりです。

回転

このオプションを選択すると、モデルに各節点の回転がカラー表示されます。この結果が有効なのは、回転に対して抵抗できる要素上の節点に対してのみです。たとえば、ブリック要素上の節点は自由度が並進方向の 3 つしかないため、回転方向の変位は計算されません。ビーム要素上の節点は、3 方向の回転に対して抵抗できます。プレート要素上の節点は、面内の 2 方向の回転に対して抵抗できます。使用できるコマンドは次のとおりです。

複数の回転が関与している場合、大たわみ解析(MES または非線形解析)では、これらの結果は慎重に解釈する必要があります。回転の結果は、運動の履歴をすべて反映しており、したがって途中の経路に依存します。例として次の図を見てください。(変位の結果は途中経路に依存しません。)

L 字型のビームが XZ 平面内に置かれているとします。

まず、このビームを X 軸の周りに 90 度回転します。

次に、ビームを Z 軸の周りに 90 度回転します。

さらに、ビームを Y 軸の周りに 180 度回転します。

最後に、ビームを Z 軸の周りに 90 度回転します。

最初の位置と最後の位置とを比較すると、最終的な結果は、X 軸の周りに +90 度回転し Y 軸および Z 軸の周りには回転しなかった場合と実質的には同じです。大たわみ解析では、X 軸の周りに -90 度、Y 軸の周りに 180 度それぞれ回転し、Z 軸の周りには回転しなかったという結果になります。

変位の結果は途中経路に依存しないため、最終的には X 軸方向に 0、Y 軸方向および Z 軸方向にそれぞれ -L だけ変位したという結果になります。ただし、L は短い方の脚の長さです。

上記の例では、[大きな剛体回転]オプション(ビーム要素の[要素定義]ダイアログ ボックスで設定)を使用した場合とは異なり、ビームの方向が可視化されています。軸 2 および軸 3 の方向が正確なのは、[回転剛体移動]を使用している場合のみです。

変位と回転の正規化

次の 2 つの線形解析タイプの場合
  • 固有値解析
変位の結果は、並進および回転のいずれの場合も正規化されます。これらの結果の唯一の目的は、振動モードごとにモデルの変形後の形状を示す点にあります。変位は特定の励振に尺度調整されないため、変位および回転の絶対値は意味を持ちません。

応力

解析手法にはさまざまなものがあり、モデルが適切かどうかを判断する場合には有効な手段として利用できます。結果環境では、ローカル座標で表した応力やそれらの応力から導出されるさまざまな量が表示され、それらを介してこうした解析手法を使用することができます。導出される量としては、フォンミーゼス基準や トレスカ 基準、最大および最小の主応力、要素固有の出力などがあります。解析結果の精度は、作成するメッシュや適用する FEA パラメータによって異なるため、結果環境には共有節点で推定した精度が表示されます。モデルが適切かどうかは、この精度値を基に判断することができます。

計算

ソフトウェアでは、節点に対する応力に基づいて、応力の推定値が計算されます。補外を行う場合は、節点の応力を基にした計算値の方が、要素内部の応力に基づく計算値よりも精度が高くなります。節点での応力値は要素全体に対する応力の計算値よりも扱いやすいため、節点での応力を表示した方が、荷重下のモデルをより実際的かつ簡便な形で表現することができます。

要素に対して計算された応力により、ガウス点における応力についての情報が得られます。ガウス点とは、有限要素解と理論上の解がほぼ一致する数値積分点です。従来の手法では、2D 要素の中心または面、および 3D 要素の図心を基準にしてこれらの応力が平均化されるため、隣接する要素間に比較的大きな差があれば、それを明示することができます。有限要素解は連続関数の近似であり、それらの位置に基づいて得られる結果は精度が低いため、応力下でのモデルの挙動を正確に捉えることができない場合があります。

個々の節点で応力を計算すれば、この問題は解消されます。ローカル最小二乗法を使用すると、ガウス点から対象の節点に対して応力が補外されます。解析対象のパーツの表面またはエッジの上にある節点は通常、モデルの重要な領域であるため、それらの節点における応力を精密に推定することは非常に重要です。異なる要素間で節点が共有されている場合は、精度に関する情報も取得できます。

モデルの表面を表示すると、その表面を定義するメッシュの各要素における個々の点での強さまたは応力が計算され、その点に適切な表示値が割り当てられます。さらに、その表面を表示するための縮尺が検証された後、各点に対しその計算値を基にして適切な色およびシェーディングが選択されます。使用している表示方法に従って、表面がシェーディングされたモデルが再描画されます。結果環境では、平滑化など、モデルの表示方法を制御するための表示オプションを選択できます。これらのオプションを使用することにより、それぞれの目的に最も適した方法でモデルを表示することができます。

[フォンミーゼス]

このコマンドを使用すると、等価応力である フォンミーゼス応力が表示またはデータ出力の対象となるように結果画面を設定できます。フォンミーゼス応力は、面積を持つ要素タイプ(2D 、プレートなど)および体積を持つ要素タイプ(ブリック)に対して表示できます。

計算式は次のとおりです。

ただし、Sx、Sy、および Sz は全体座標系における軸方向応力、Sxy、Syz、および Sxz はせん断応力です。次のように、主応力 S1、S2、および S3 を使用して表すこともできます。

これらの計算式から分かるように、フォンミーゼス応力の値は常に正です。

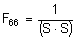
[トレスカ*2]

トレスカ*2 応力は、面積を持つ要素タイプ(2D 、プレートなど)および体積を持つ要素タイプ(ブリック)に対して表示できます。この方法を使用すると、次の応力テンソルから最大せん断応力を抽出できます。トレスカ の計算式は次のとおりです。

ただし、S1、S2、および S3 は主応力です。レポートされる値は、最大せん断応力の 2 倍です。そのため、レポートされた トレスカ*2 値が降伏応力に達すれば、降伏が生じます。定義により、トレスカ応力の値は常に正です。図については、「モールの応力円」を参照してください。トレスカ*2 は、応力強さとも呼ばれます。

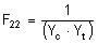
[最小主応力]

このコマンドを使用すると、表示またはデータ出力の対象として最小主応力(S3)を計算するように結果画面を設定できます。この主応力は、面積を持つ要素タイプ(2D、プレートなど)および体積を持つ要素タイプ(ブリック)に対して表示できます。符号が正(+)の場合は引張を表し、符合が負(-)の場合は圧縮を表します。図については、「モールの応力円」を参照してください。

[最小主応力(ベクトル)]

このコマンドを使用すると、各要素における最小主応力の方向をベクトル プロットとして表示できます。要素の各節点におけるテンソルが平均化され、その平均化されたテンソルの最小主応力(ベクトル)が要素の図心にプロットされます。いずれかの要素を選択し、さらに[結果の照会] [照会] [現在の結果]を選択すると、このベクトルの成分がすべて表示されます。

[中間主応力]

このコマンドを使用すると、表示またはデータ出力の対象として中間主応力(S2)を計算するように結果画面を設定できます。中間主応力は、最小主応力と最大主応力の双方に対して垂直な方向の応力です。この主応力は、面積を持つ要素タイプ(2D、プレートなど)および体積を持つ要素タイプ(ブリック)に対して表示できます。符号が正(+)の場合は引張を表し、符合が負(-)の場合は圧縮を表します。

[中間主応力(ベクトル)]

このコマンドを使用すると、各要素における中間主応力の方向をベクトル プロットとして表示できます。要素の各節点におけるテンソルが平均化され、その平均化されたテンソルの中間主応力(ベクトル)が要素の図心にプロットされます。いずれかの要素を選択し、さらに[結果の照会][照会][現在の結果]を選択すると、このベクトルの成分がすべて表示されます。

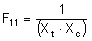
[最大主応力]

このコマンドを使用すると、表示またはデータ出力の対象として最大主応力(S1)を計算するように結果画面を設定できます。この主応力は、面積を持つ要素タイプ(2D、プレートなど)および体積を持つ要素タイプ(ブリック)に対して表示できます。符号が正(+)の場合は引張を表し、符合が負(-)の場合は圧縮を表します。図については、「モールの応力円」を参照してください。

[最大主応力(ベクトル)]

このコマンドを使用すると、各要素における最大主応力の方向をベクトル プロットとして表示できます。要素の各節点におけるテンソルが平均化され、その平均化されたテンソルの最大主応力(ベクトル)が要素の図心にプロットされます。いずれかの要素を選択し、さらに[結果の照会][照会][現在の結果]を選択すると、このベクトルの成分がすべて表示されます。

[テンソル]

このコマンドを使用すると、選択した方向に対する応力の成分を表示できます。数学的には、応力テンソルとのドット積またはローカル座標系での応力テンソルの成分が使用されます。応力テンソルは、面積を持つ要素タイプ(2D、プレートなど)および体積を持つ要素タイプ(ブリック)に対して表示できます。

[結果コンター][設定][要素のローカル結果を使用]がオンになっていない場合は、次のグローバル応力の中からいずれかを選択することができます。このオプションがオンの場合は、選択する項目に応じて、個々の説明の中で言及されているローカル座標系での応力テンソルが表示されます。

ローカル座標軸を持つ要素であっても、ローカル座標軸の方向が隣接する要素によって異なる場合は、応力の平滑化(平均化)が意味を持たないこともあります。平滑化応力テンソルの値が意味を持つのは、ローカル座標軸の方向が、ある要素から次の要素へ向かう方向と一致している場合のみです。

  • 1) XX: 全体座標系の X 軸方向の垂直応力を表す応力テンソルの成分。符号が正(+)の場合は引張を表し、符合が負(-)の場合は圧縮を表します。[結果コンター][設定][要素のローカル結果を使用]がオンの場合は、ローカル座標系での応力テンソルの 1-1 成分が表示されます。
  • 2) YY: 全体座標系の Y 軸方向の垂直応力を表す応力テンソルの成分。符号が正(+)の場合は引張を表し、符合が負(-)の場合は圧縮を表します。[結果コンター][設定][要素のローカル結果を使用]がオンの場合は、ローカル座標系での応力テンソルの 2-2 成分が表示されます。
  • 3) ZZ: 全体座標系の Z 軸方向の垂直応力を表す応力テンソルの成分。符号が正(+)の場合は引張を表し、符合が負(-)の場合は圧縮を表します。[結果コンター][設定][要素のローカル結果を使用]がオンの場合は、ローカル座標系での応力テンソルの 3-3 成分が表示されます。
  • 4) XY: 全体座標系の XY 方向のせん断応力を表す応力テンソルの成分。(X は面に対して垂直な方向、Y はせん断応力の方向を表します。)[結果コンター][設定][要素のローカル結果を使用]がオンの場合は、ローカル座標系での応力テンソルの 1-2 成分が表示されます。
  • 5) YZ: 全体座標系の YZ 方向のせん断応力を表す応力テンソルの成分。(Y は面に対して垂直な方向、Z はせん断応力の方向を表します。)[結果コンター][設定][要素のローカル結果を使用]がオンの場合は、ローカル座標系での応力テンソルの 2-3 成分が表示されます。
  • 6) ZX: 全体座標系の ZX 方向のせん断応力を表す応力テンソルの成分。(Z は面に対して垂直な方向、X はせん断応力の方向を表します。)[結果コンター][設定][要素のローカル結果を使用]がオンの場合は、ローカル座標系での応力テンソルの 3-1 成分が表示されます。

[ビームとトラス]

このコマンドを使用すると、線形トラス要素、非線形トラス要素、線形ビーム要素、非線形ビーム要素、およ非線形パイプ要素に対する応力を表示できます。表示できる結果は次のとおりです。

重要:
  • 塑性を持つビーム要素を対象とする非線形解析の場合、このコマンドを使用して表示される結果は、降伏強さによって部分的にのみ修正されます。それぞれの応力(軸応力、ローカル 2 の曲げ応力、およびローカル 3 の曲げ応力)は、必要に応じてキャップされるか、降伏応力に限定されます。その後、最悪応力によって 3 つの結果がまとめて追加されます。
  • 応力についてより正確な結果を得るには、解析を実行する前に、ビームの[要素定義]にある[応力とひずみのバイナリ出力]オプションをオンにしてください。結果環境で、[結果の照会][照会][詳細なビーム応力]および[結果の照会][照会][ビームひずみの詳細]を使用すると結果を確認できます。
  • [Axial Stress (Local 1 Direction)]: 軸方向応力が表示されます。これは、軸方向の力を断面積で割った値として計算されます。値が正の場合は引張応力であり、値が負の場合は圧縮応力です。
  • [Bending Stress in Local 2 Direction]: ビーム要素においてローカル軸 2 周りの曲げモーメントによる曲げ応力が表示されます。これは、軸 2 の周りの曲げモーメントをローカル軸 2 の周りの断面係数で割った値として計算されます。ローカル軸 2 は k 要素を通り、ビームに直交します。(トラス要素は曲げることができないため、このメニュー項目の適用対象とはなりません。)
  • [Bending Stress in Local 3 Direction]: ビーム要素においてローカル軸 3 の周りの曲げモーメントによる曲げ応力が表示されます。これは、軸 3 の周りの曲げモーメントをローカル軸 3 の周りの断面係数で割った値として計算されます。ローカル軸 3 は、ローカル軸 1 に沿うベクトルとローカル軸 2 に沿うベクトルとのクロス積により定義されます。(トラス要素は曲げることができないため、このメニュー項目の適用対象とはなりません。)
  • [最悪]: 1 つの角では、軸応力、軸 2 中心とした曲げ応力、および軸 3 中心とした曲げ応力の組み合わせにより絶対値は最大となります。これがビームの最悪の応力です。線形応力の場合、符号が正(+)であれば、ビームに対して軸方向の引張が作用していることを表し、符号が負(-)であれば、ビームに対して軸方向の圧縮が作用していることを表しています。数式で表すと次のようになります。

最悪の応力 = (P/A の符号)(ABS(P/A)+ABS(M2/S2)+ABS(M3/S3))

応力解析(線形および非線形)では、(S2 および S3 の入力値または計算値はただ 1 つであるため)断面は対称であると仮定されます。したがって非対称のビームの場合、数式の上では、図 1 の左下角や左上角のように実在しない場所に最悪の応力が生じる場合があります。

図 1: 非対称のビームにおける応力の結果

C2 と C3 は等しいと仮定されているため(S2 および S3 の入力値はただ 1 つであるため)、実在しない場所に最悪の応力が生じることは可能です。

ビーム要素に対してローカル軸 1、ローカル軸 2、およびローカル軸 3 を表示する場合は、[結果オプション][表示][要素方向]を使用します。

コンポジット

[破壊インデックス]

このコマンドを使用すると、[要素定義]ダイアログで設定した面内複合材料の破壊判定基準([Tsai-Wu]、[最大応力]、または[最大ひずみ])に対応する結果が表示されます。

(隣接する要素間で値を平滑化または平均化する代わりに)各要素における実際の破壊判定基準値を表示できるように、平滑化([結果コンター][設定][結果を平滑化])は無効にすることをお勧めします。

[結果コンター][応力][複合材料][オプション]を使用すれば、どの薄板に結果を表示するかを制御することができます。また、このコマンドを使用すると、[最悪]の結果が表示されるよう選択することもできます。

最大応力および最大ひずみが破壊判定基準の場合は、最初に薄板の上面および底面に基づいて、次のような安全係数を考えます。

最大応力 - 安全係数

、および

ただし、σ は方向 1 または方向 2 の垂直応力の計算値、X および Y は方向 1 および方向 2 の許容できる応力(応力の計算値に対応する圧縮または引張)、τ12·はせん断応力の計算値、S は許容できるせん断応力です。

最大ひずみ - 安全係数

、および

ただし、ε は方向 1 または方向 2 の垂直ひずみの計算値、T は方向 1 および方向 2 の許容できるひずみ(ひずみの計算値に対応する圧縮または引張)、γ12·はせん断ひずみの計算値、S は許容できるせん断ひずみです。

このときに表示される結果は次のとおりです。

最大応力および最大ひずみの破壊インデックス
線形応力 非線形応力
1/安全係数の計算値 安全係数の計算値
最大値のプロット 最小値のプロット
破壊を表す 1 より大きな値 破壊を表す 1 より大きな値

Tsai-Wu が破壊判定基準の場合は、最初に次のような 値 F を考えます。

ここで

σ および τ·は垂直応力およびせん断応力の計算値、それ以外の値はすべて材料の入力値です。

このときに表示される結果は次のとおりです。

Tsai-Wu の破壊インデックス
線形応力 非線形応力
値 F のプロット 値 1/F のプロット
破壊を表す 1 より大きな値 破壊を表す 1 より大きな値

[面外破壊]

最大応力を破壊判定基準として、厚肉複合材要素を使用している場合、このオプションを使用すると、コア薄板の厚み(面外方向)を基にして破壊判定基準を表示することができます。プロットされる結果は、次の各量の最大値です。

、および

ただし、σcore はコア(3 の方向)の垂直応力の計算値、Zc は許容されるコアの圧縮応力、τ はせん断応力の計算値、S は許容される横せん断応力です。

破壊が発生するのは、値が 1 より大きな場合です。

ひずみ

これまでの説明や計算式の中に現れる「応力」を「ひずみ」に読み替えれば、応力の結果に関する計算式の多くは、モデルにおけるひずみの結果を表示するのにも利用できます。以降の記述のうちこれに該当する部分には、対応するページへのリンクが記載されています。以下では、ひずみに関するコマンドのうち、等価応力のコマンドと大きな違いがあるものについて詳しく説明します。

[ひずみエネルギー密度]

このコマンドを選択すると、ひずみエネルギー密度に従ってモデルをシェーディングすることができます。要素のひずみエネルギーは、荷重により要素が吸収したエネルギーとして定義されます。このエネルギーを体積あたりに換算したものが です。

応力とひずみの正規化

次の線形解析タイプの場合:
  • 固有値解析
必要に応じて、正規化された応力およびひずみの結果を出力できます。これを行うには、[解析パラメータ]ダイアログ ボックスの[出力]タブの[正規化された応力]オプションまたは[正規化されたひずみ]オプション(あるいは両方)を有効にします。

これらの結果の唯一の目的は、モデル内における相対的な応力分布およびひずみ分布を示す点にあります。つまり、応力およびひずみが最大または最小の領域を特定することはできますが、モード解析だけで結果を数値化することはできません。結果は特定の励振に尺度調整されないため、応力およびひずみの絶対値は意味を持ちません。

Autodesk Moldflow の結果

適用可能な場合、Autodesk Simulation Mechanical のモデルを Autodesk Moldflow Advisor または Insight にエクスポートして、射出成形プロセスをシミュレーションできます。Moldflow でのシミュレーションが完了すると、Autodesk Simulation Mechanical の結果環境で追加の結果を視覚化できます。これらの結果は、リボンの[結果コンター]タブの[Moldflow 結果]パネルで選択します。

注: [Moldflow 結果]パネルは、現在のモデルに対して Moldflow 解析を実行し、結果が現在のファイル セット内に存在する場合にのみ表示されます。

線形解析タイプの中で Moldflow の結果を表示できるのは、線形材料による静解析だけです。Moldflow の結果は、非線形材料による固有値解析を除く、すべての非線形構造解析でも表示できます。表示できる結果は次のとおりです。

注: モデルを Moldflow にエクスポートする前に、Autodesk Simulation Mechanical で解析を実行する必要はありません。ただし、少なくとも[モデルをチェック]コマンドを実行しておく必要があります。同様に、Moldflow での結果を表示するために、Autodesk Simulation Mechanical で応力解析を実行する必要はありません。結果環境に移行するだけで済みます。

[要素変位]

[要素力およびモーメント]に表示される結果は主に、トラス要素、ギャップ要素、ビーム要素、境界要素などの線要素に関する結果です。

[要素力およびモーメント]

[要素力およびモーメント]に表示される結果は主に、トラス要素、ギャップ要素、ビーム要素、境界要素などのライン要素に関する結果です。

が、すべてのプレート応力の計算に使用されます。曲げモーメント テンソルは、分配モーメント(線モーメント、単位長さ当たりのモーメント)です。解釈が最も容易なのは、[結果コンター][応力][テンソル]で取得できる結果です。フォンミーゼス応力、トレスカ応力、最大主応力、および最小主応力の数値計算は実行されますが、その結果は曲げ応力の値と次の値との積に等しくなります。

.

ビーム要素におけるローカル的な力およびモーメントの方向

[コンポーネント] 構造ビーム
ローカル的な力 1 符号が正(+)の場合は引張、符合が負(-)の場合は圧縮を表す。
ローカル的な力 2
  • 節点 i: ローカル軸 2 の負の方向に正の値。
  • 節点 j: ローカル軸 2 の正の方向に正の値。
ローカル的な力 3
  • 節点 i: ローカル軸 3 の負の方向に正の値。
  • 節点 j: ローカル軸 3 の正の方向に正の値。
ローカル的なモーメント 1
  • 節点 i: ローカル軸 1 に対して右ネジ方向とは反対の方向(左ネジ方向)に正の値。
  • 節点 j: ローカル軸 1 に対して右ネジ方向に正の値。
ローカル的なモーメント 2
  • 節点 i: ローカル軸 2 に対して右ネジ方向とは反対の方向(左ネジ方向)に正の値。
  • 節点 j: ローカル軸 2 に対して右ネジ方向に正の値。
ローカル的なモーメント 3
  • 節点 i: ローカル軸 3 に対して右ネジ方向とは反対の方向(左ネジ方向)に正の値。
  • 節点 j: ローカル軸 3 に対して右ネジ方向に正の値。

図 2: ビーム要素におけるローカル的な力およびモーメントの方向

 

[パワースペクトル密度]

ランダム応答解析の実行時にパワー スペクトル密度を出力するオプションを選択した場合、結果には[パワー スペクトル密度]という項目が表示されます。(このオプションの詳細については、「ランダム応答解析」ページを参照してください)。次の手順により、パワー スペクトル密度のグラフを作成することができます。

  1. 変位や応力など、モデルに関するいずれかの結果を表示します。
  2. パワー スペクトル密度が適切な節点を 1 つまたは複数選択し、右クリックして、[グラフの値]を選択します。
  3. グラフが作成されたら、[結果の照会][グラフ][パワースペクトル密度]を選択して、次のいずれかの結果を表示します。
    • [ x 変位]: X 方向の変位のパワー スペクトル密度を表示します。
    • [Y 方向変位]: Y 方向の変位のパワー スペクトル密度を表示します。
    • [Z 方向変位]: Z 方向の変位のパワー スペクトル密度を表示します。
    • [X 回転]: X 方向の回転のパワー スペクトル密度を表示します。
    • [Y 回転]: Y 方向の回転のパワー スペクトル密度を表示します。
    • [Z 回転]: Z 方向の回転のパワー スペクトル密度を表示します。

ただし、これらの結果は支点を基準としたものです。これらは、入力された励振に関するパワー スペクトル密度を表します。

複数の節点がプロットされた場合、パワー スペクトル密度は各節点に対して個別に有効にする必要があります。パワー スペクトル密度を表示する場合は、事前にブラウザで目的の節点を右クリックし、[活性化]を選択してください。(一般的な手順については、「解析のグラフ結果」ページを参照してください)。

[反力]

このコマンドを使用すると、内力および反力を表示することができます。表示される結果のタイプは次のとおりです。

それぞれの結果に対して、次のオプションを使用できます。

[フォンミーゼスの精度]

[精度]を使用すると、要素間における結果の不連続的な変化を明確にすることができます。理想的なモデルの場合、応力は隣接する要素間で滑らかに変化します。モデルをいくつかの要素で離散化するプロセスでは、要素間で結果に何らかの変化が生じ、かつその変化は不連続的です。

応力モデルを例にとると、共有節点を持つ要素では各節点での応力を個別に予測することができるため、それぞれに独立した応力の計算値により、フォンミーゼス応力を基にしてモデルの精度を推定することができます。各節点における精度値は次の式に基づいて計算されます。

定義により、精度値の範囲は 0(最高精度)~ 0.5(最低精度)です。2 つ以上の要素間で共有されていない節点では、推定される応力はただ 1 つであり、したがって精度値は 0 です。

例 1:

モデル内の フォンミーゼス応力の最大値が 200 の場合、各節点(最大 3 つの要素が接続された節点)での精度は次のようになります。

節点番号 フォンミーゼス応力 精度値 コメント
  値 1 値 2 値 3    
17 20 -- -- .0 要素がただ 1 つである節点
23 20 40 25 .05 .5(40-20)/200
36 150 120 200 .20 .5(200-120)/200

例 2:

次の図のように節点 #5 の周囲に 4 つの要素があるとし、節点 #5 における各要素の応力が下記の表のように与えられているとします。

要素番号 節点番号 フォンミーゼス応力
1 5 20,000
2 5 15,000
3 5 19,000
4 5 10,000

モデル内の応力が(たとえば節点 9 で)最大値 25,000 をとるとすると、節点 5 における精度は次のようになります。

節点 5 の精度 = 0.5(20,000 - 10,000)/25,000 = 0.20

ただし、実際の応力がこの範囲内に値をとる保証はありません。実際の応力がどの範囲に値をとるかについては、モデルのメッシュがどの程度適切に作成されているかや、実際のパーツがどの程度適切にモデル化されているかによって決まります。誤差がある場合でも、それが指定された精度の範囲内であれば許容されます。たとえば、精度値が 0.1、最大応力が 200 の場合、20 未満の誤差は許容範囲であるとみなされます。

[適用荷重]

このオプションを選択すると、入力された荷重がモデルに表示されます。構造解析に使用できる荷重は温度および電圧です。

[要素プロパティ]

ここに含まれるコマンドを使用すると、要素の形状に基づいてモデルをシェーディングすることができます。これらのコマンドはそのほとんどが、2D 要素、プレート要素、ブリック要素など、面積または体積を持つタイプの要素に対してのみ有効です。

次の各オプションを使用すると、選択した項目を基準としてモデルをシェーディングすることができます。

ヒント: これらのオプションの多くは、ソリッド メッシュの結果をシェーディングする場合に使用できます。その場合、目的となる項目は体積領域の内部に含まれるため、[表示オプション]の[完全なメッシュを表示]をオンにすることをお勧めします。