빔 계산 공식

이러한 공식은 여러 지지점 및 하중을 사용하여 하나 이상의 단면이 있는 샤프트 또는 하나의 일정 단면이 있는 빔을 해석하는 데 사용됩니다.

샤프트/빔 축은 Z축에 정렬됩니다. 계산에 재질 밀도의 영향이 포함되면 중력 벡터가 Y축에 정렬됩니다.

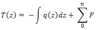
전단력:

굽힘 모멘트:

처짐 각도:

설명:

 

E

인장 시 탄성 계수

 

J

관성 모멘트

 

G

강성 계수

  β

전단 변위 비율

처짐:

굽힘 응력:

전단 응력:

비틀림 응력:

인장 응력:

감소 응력:

설명:

  σ B 굽힘 응력
  σ T

인장 응력

  τ 비틀림 응력
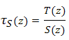
  τ S 전단 응력
  α HMH의 경우 α = 3
    트레스카-게스트의 경우 α = 4

샘플 계산

탄성 계수 E = 210 000 MPa

강성 계수 G = 81 000 MPa

전단 변위 비율 β=1.118

감소 응력 모드: HMH

재질 밀도가 포함되지 않습니다.

지지력:

최대 전단 응력:

최대 비틀림 응력:

최대 모멘트:

최대 굽힘 응력:

최대 감소 응력:

비틀림 각도: