3D 일반 수축 모델
이 모델은 다음 형식화를 사용하여 선형 수축을 대략적으로 나타냅니다.
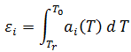
여기에서 각 항목은 다음과 같습니다.
-
i차
기본 방향의 온도
T
에서 선형 열팽창 계수(CTE)입니다. 특수한 PVT 축척 방법을 사용하여 온도 종속 CTE
i
가 고려됩니다.
T
0
은 지역 캐비티 압력이 대기 조건에 도달했을 때의 온도입니다. 이 값은 유동 시뮬레이션에서 얻을 수 있습니다.
T
r
은 실내 온도입니다.
이 단원의 항목
일반 수축 모델을 선택하려면
일반 수축 모델은 3D 수정되지 않은 잔류 응력 모델이 도입되기 전까지 사용되었습니다.
상위 주제:
3D 모델의 수축 예측 방법