환산 변형 클로저 모델

환산 변형 클로저(RSC) 모델은 섬유 배향 해석을 수행할 때 섬유 배향을 계산하기 위한 옵션입니다.

Folgar-Tucker 배향 방정식은 섬유 배향 계산에 사용되는 표준 모델입니다. 관련 방정식은 다음과 같습니다.
다음 사항에 유의하십시오.
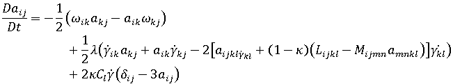
그러나 최근 실험 및 참조 문헌에 따르면 Folgar-Tucker 모델은 농축된 현탁액에서 배향 텐서의 변경률을 과대 평가합니다. 느린 배향 역학을 캡처하고 객관성을 유지하기 위해 RSC 모델이 개발되었습니다.1 이 모델은 배향 텐서의 고유 값 성장률을 스칼라 계수 단위로 축소하고 고유 벡터의 회전률은 변경되지 않은 상태로 유지한다는 개념에 기반합니다. 따라서 배향 방정식이 다음과 같이 수정됩니다.
RSC 모델은 다음과 같은 점에서만 표준 Folgar-Tucker 모델과 다릅니다.
  1. 확산 항이 스칼라 계수 만큼 줄어듭니다.
  2. 클로저 항 이 다음으로 대체됩니다.
4차 텐서 은 다음과 같이 정의됩니다.

여기서 p번째 고유 값(배향 텐서 )이고, i번째 성분( p번째 고유 벡터(배향 텐서 ))입니다.

스칼라 계수 는 현상학적 변수이며, 느린 배향 역학을 모델링하려면 입니다. 스칼라 계수 가 작을수록 배향 텐서는 유동과 함께 더 느리게 진행되고 배향 코어 레이어는 더 두꺼워집니다. = 1인 경우 RSC 모델이 원래 Folgar-Tucker 모델로 축소됩니다.

기준

J. Wang, J.F. O’Gara, and C.L. Tucker III, An Objective Model for Slow Orientation Dynamics in Concentrated Fiber Suspensions: Theory and Rheological Evidence. Journal of Rheology, 52(5):1179-1200 (2008).

1 Delphi Technologies, Inc.(Tucker et al., 2007)의 RSC 모델은 미국 특허를 보유하고 있으며 Autodesk는 이 모델 사용에 대한 독점 라이센스를 보유하고 있습니다.