긴 섬유 컴포지트에 대한 이방성 회전 확산 모델

이방성 회전 확산(ARD) 모델은 긴 섬유 컴포지트 모델을 사용하여 섬유 배향 해석을 수행할 때 섬유 배향을 계산하기 위한 옵션입니다.

대개 1mm 이상의 섬유가 긴 섬유로 간주됩니다. 일반적으로 사출 성형 제품에서 유동 방향의 섬유 정렬은 짧은 섬유 재료보다 긴 섬유 재료에서 더 약합니다. Folgar-Tucker 및 환산 변형 클로저 모델에서 사용되는 등방성 확산으로는 긴 섬유 재료의 섬유-섬유 상호작용 동작을 캡처할 수 없으며, 모든 섬유 배향 성분을 동시에 정확하게 예측할 수도 없습니다.

등방성 확산이 이방성 회전 확산(ARD)으로 대체되었습니다. Phelps 및 Tucker가 개발한 ARD는 모든 단위 벡터 배향에 따라 추적된 단위 구의 면에 정의됩니다.

여기에서 회전 확산 텐서 의 이차함수로 추정되며, 다음과 같이 정의됩니다.

여기에서 각 는 스칼라 상수이고, 그 값은 실험적 안정 상태 배향과 필요한 안정적 배향을 일치시킴으로써 결정됩니다. (j=2,......,5)를 설정합니다. 그리고 ARD 모델을 Folgar-Tucker 모델로 환산합니다.

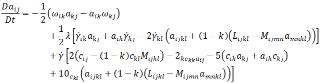
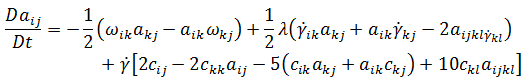
RSC 버전의 ARD 모델(ARD-RSC 모델)은 다음과 같이 전개되기도 합니다.

참조

Phelps, J. and C. L. Tucker III, An Anisotropic Rotary Diffusion Model for Fiber Orientation in Short- and Long-Fiber Thermoplastics. Journal of Non-Newtonian Fluid Mechanics 156(3): 165–176 (2009).