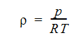
유체 흐름 정의

비압축성 - 압축성

압축성이라는 용어는 밀도 및 압력 사이의 관계를 나타냅니다. 흐름이 압축성이면 유체 압력을 변경할 경우 밀도에 영향을 주고, 밀도를 변경하면 유체 압력에 영향을 줍니다. 압축성 흐름은 매우 높은 속도의 가스와 관련이 있습니다.

압축성 및 비압축성 흐름 간의 한 가지 주요 차이점은 압력의 물리적 특성, 결과적으로 압력 방정식의 수학적 특성에서 나타납니다. 비압축성 흐름의 경우 다운스트림 효과는 즉시 모든 위치에서 확인되며, 압력 방정식은 수학적으로 타원형이므로 다운스트림 경계 조건이 필요합니다. 압축성 흐름(특히 초음속)의 경우 다운스트림 압력이 업스트림으로 영향을 줄 수 없으며 압력 방정식은 쌍곡선이므로 업스트림 경계 조건만 필요합니다.

다운스트림 경계는 압력 구속조건이 없는 상태여야 합니다.

마하 수

압축률 측정값 중 하나는 유체 속도를 음속으로 나누어 정의하는 마하 수로, 다음과 같이 정의됩니다.

여기서 a는 음속이고, gamma는 비열비이고, R은 범용 가스 상수이고, T는 정적 온도입니다. 마하 수가 0.3보다 작으면 흐름은 비압축성으로 간주될 수 있습니다. 마하 수가 이 값보다 크면 압축 효과가 더 많은 영향을 미치게 되므로 정확한 해석을 위해 고려되어야 합니다.

단열 압축성

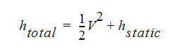
열 전달 효과가 없고 유체가 음파 속도(마하 = 1.0)보다 낮게 이동되면 흐름은 단열 상태로 간주될 수 있습니다. 이 유형의 흐름에서는 총 에너지 보존됩니다. 즉, 운동 및 열 에너지 합계가 일정합니다. 방정식의 형태로 다음과 같이 표현될 수 있습니다.

여기서 V는 속도이고 h는 에너지 측정값인 체적 엔탈피입니다. 이상 기체를 가정하면 다음과 같이 온도를 사용하여 이 방정식을 작성할 수 있습니다.

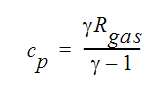
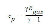
여기서 Cp는 다음을 사용하여 계산하는 기계적 비열 값입니다.

여기서 은 상수 체적 비열 대비 상수 압력 비열의 비율이고 Rgas는 이 가스에 대한 가스 상수입니다. 총 온도를 정체 온도라고도 합니다. 이 방정식 오른쪽의 첫 번째 항을 동적 온도라고도 합니다.

천음속, 초음속 및 극초음속 흐름

이러한 3가지 용어는 압축성 흐름을 분류한 것입니다. 천음속 흐름은 음파 속도이거나 음파 속도에 가깝습니다. 초음속은 마하 수 범위 1<Ma<5에 해당합니다. 마하 수가 5보다 큰 흐름을 극초음속이라고 합니다. 천음속 및 초음속 흐름은 이상 기체 가정을 사용하여 모델링할 수 있습니다.

극초음속은 이상 기체 가정을 사용하여 모델링할 수 없으며 실제 기체 효과를 고려해야 합니다.

절대, 전체, 정적 및 동적 값

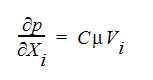
용어 절대값은 압력과 함께 사용됩니다. 일반적으로 압력 방정식의 해는 상대 압력입니다. 이 상대 압력에는 중력 헤드, 회전 헤드 또는 참조 압력이 포함되지 않습니다. 이것은 운동량 방정식의 속도에 의해 직접 영향을 받는 압력의 일부입니다. 절대 압력은 중력/회전 헤드 및 참조 압력을 압력 방정식에서 계산된 압력에 추가합니다. 상대 압력을 Prel로 나타내면 절대 압력은 다음과 같이 계산됩니다.

여기서 아래 첨자로 표시한 ref는 참조 값을 나타내고, 아래 첨자로 표시한 i는 세 가지 좌표 방향을 나타내고, g는 중력 가속도를 나타내고 는 회전 속도를 나타냅니다. 참조 밀도는 참조 압력 및 온도를 사용하여 해석을 시작할 때 계산됩니다. 밀도가 일정한 흐름의 경우, 참조 밀도는 상수 값입니다. 중력 또는 회전 헤드가 없는 흐름의 경우 상대 압력은 게이지 압력입니다.

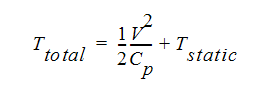
동적 및 정적 용어는 압축성 유체에서 가장 일반적으로 사용됩니다. 동적 값은 다음과 같은 운동 에너지와 같은 용어입니다.

동적 온도를 계산하는 데 사용되는 비열은 특성 창에 입력한 열 값이 아니고 다음을 사용하여 계산한 기계 값입니다.

여기서 는 상수 체적 비열 대비 상수 압력 비열의 비율이고 Rgas는 이 가스에 대한 가스 상수입니다.

정적 온도는 에너지 방정식의 해를 구해서 결정합니다. 단열 특성의 경우 정적 온도를 결정하는 데 사용되는 에너지 방정식은 일정한 총 온도 방정식입니다. 따라서 정적 온도는 전체 또는 정체 온도에서 동적 온도를 뺀 값입니다.

정적 압력은 앞서 표시된 절대 압력입니다. 총 온도는 정적 및 동적 온도의 합계입니다. 총 압력은 정적 또는 절대 압력과 동적 압력의 합입니다.

층류 - 난류

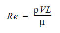
층류 흐름은 매끄럽고 일정한 유체 동작으로 정의됩니다. 난류 흐름은 변동 및 교반 동작입니다. 흐름이 층류인지 아니면 난류인지를 알려면 유체의 속도를 측정합니다. 층류 흐름은 일반적으로 난류 흐름보다 훨씬 더 느립니다. 흐름을 층류 또는 난류로 분류하는 데 사용되는 무차원 수는 다음과 같이 정의되는 레이놀즈 수입니다.

여기서 는 밀도이고, V는 속도이고, 는 점도입니다. 레이놀즈 수가 2500보다 큰 경우 흐름은 난류 현상을 나타냅니다. 대부분의 엔지니어링 흐름은 난류입니다.

층류 및 난류 유동 구간대 사이에는 천이 유동 구간대가 있습니다. 이 유동 구간대에서 흐름은 여러 단계의 비선형 동작을 거쳐 완전히 난류 상태가 됩니다. 이러한 단계는 매우 불안정하며, 흐름은 한 유형의 동작(예: 난류 스폿)에서 다른 유형의 동작(예: 와류 발생)으로 빠르게 변경되고 다시 원래대로 변경될 수 있습니다. 이 흐름 유형의 불안정성 때문에 수치적으로 예측하기 매우 어렵습니다.

비점성 - 점성 유동

점도 또는 전단 효과가 무시된 흐름을 비점성이라고 지칭합니다. 점성 유동에는 점도 또는 전단 효과가 포함됩니다. 모든 유체에는 점도가 있습니다. 그러나 전단 효과를 무시해도 의미 있는 결과를 얻을 수 있는 사례는 제한되어 있습니다.

비점성 유동은 오일러 방정식을 사용하여 구하는 이상적인 흐름입니다. 이러한 방정식은 나비에-스토크스 방정식의 일부입니다. 일부 압축성 흐름 코드는 나비에-스토크스 방정식 대신 오일러 방정식의 해를 구합니다. 오일러 방정식은 방정식의 수학적 특성이 절대 변경되지 않으므로 수치적으로 해석하기가 더 쉽습니다. 점성 효과를 포함하는 경우 솔루션 영역에 타원형 효과가 지배적인 영역과 쌍곡선 효과가 지배적인 영역이 모두 포함됩니다. 이 방법은 훨씬 더 까다로운 문제입니다.

비점성 유동이 비회전 유동이기도 한 경우 흐름을 나타내기 위한 속도 퍼텐셜 함수를 정의할 수 있습니다. 이러한 흐름을 퍼텐셜 흐름이라고 합니다. 이 흐름 유형에서는 단일 방정식의 해를 구해서 모든 흐름 매개변수를 확인할 수 있으므로 오일러 방정식의 해를 구하는 것보다 수치적으로 더 쉽습니다. 비점성 및 비회전을 가정할 수 있는 경우는 극히 제한적입니다. 그러나 퍼텐셜 흐름 솔루션은 매우 제한적인 유체 흐름 문제의 흐름 패턴과 관련된 일부 정보를 제공할 수 있습니다.

경계층 흐름

유체 흐름이 고체 표면을 흐를 때 경계층이 형성됩니다. 이 경계층은 표면을 따라 이동할수록 성장합니다. 유체 전단은 주로 경계층에 포함됩니다. 경계층 흐름은 이 전단층의 성장과 주로 관련된 유체 흐름 문제를 나타냅니다. 경계층 흐름은 표면 또는 제트 후류 흐름 옆에서 발생할 수 있습니다.

대부분의 경계층 흐름에서 경계층의 압력은 거의 일정하게 유지됩니다. 경계층 외부에서 압력 그라데이션은 매우 다양할 수 있으며 이로 인해 경계층 흐름에 영향을 주게 됩니다. 이 흐름 유형은 정보가 기본적으로 경계층 성장 방향에 따른 단방향이므로 수학적으로 포물선형으로 나타냅니다.

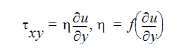
뉴턴 또는 비뉴턴 유체

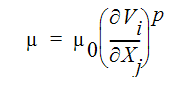
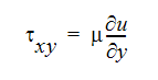
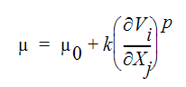
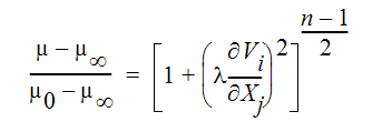
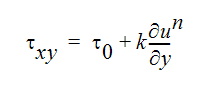
뉴턴 유체는 유체 전단 및 변형 간의 선형 관계를 나타냅니다.

여기서 는 유체 전단 응력이고, 속도 그라데이션은 변형 비율 텐서의 한 구성요소를 나타내며 는 점성 계수입니다. 뉴턴 유체의 경우 점도는 일정하거나 온도의 함수입니다. 비뉴턴 유체의 경우 점도가 변형 비율의 함수이기도 하므로 전단 응력이 변형 비율의 비선형 함수입니다.

비뉴턴 멱법칙 유체의 경우 전단 응력이 다음과 같이 기록됩니다.

여기서 m은 일관성 지수이고 n은 멱법칙 지수입니다. 점도 측면에서 볼 때 이 방정식은 다음과 같이 작성할 수 있습니다.

여기서는 이고 p = n - 1입니다.

Herschel-Buckley 비뉴턴 유체는 다음과 같이 설명할 수 있습니다.

점도 측면에서 볼 때 이 방정식은 다음과 같이 작성할 수 있습니다.

또 다른 비뉴턴 유체 표현은 다음과 같은 Carreau 모형 유체입니다.

대부분의 엔지니어링 흐름은 비뉴턴(공기, 물, 오일, 증기) 유체입니다. 비뉴턴으로 간주되는 유체에는 플라스틱, 혈액, 슬러리, 고무 및 종이 펄프가 있습니다.

전도, 대류, 복합 및 복사 열 전달

다음 세 가지 모드를 사용하여 열 전달을 수행할 수 있습니다. 전도에서 열은 분자 동작을 통해 전달됩니다. 열 전달률은 열전도 계수에 따라 좌우됩니다. 대류 열 전달은 유체 동작으로 열이 전달되는 방식을 나타냅니다. 복사 열 전달은 복사 매체의 광학 조건에 따라 좌우되는 전자기 현상입니다. 복합 열 전달은 이러한 열 전달의 두 가지 또는 세 가지가 모두 결합된 형태를 나타냅니다.

표면 대 표면 복사

대부분의 엔지니어링 부문에서 복사 에너지 교환은 솔리드 표면 간에 발생합니다. 솔리드에 포함된 가스는 일반적으로 관련이 없습니다. 이 규칙의 예외는 용광로에서 가스가 타거나 가열되는 경우입니다. 이 표면 대 표면 복사 교환 방식은 표면 온도에 영향을 미치게 되고 가스 온도는 대류 및 전도를 통해 영향을 받습니다. 지배 방정식에 복사 교환을 포함하려면 추가 열 플럭스 항인 qri가 벽 표면 요소에 추가됩니다. 이 항은 다음과 같이 계산됩니다.

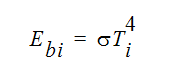
여기서 qri는 표면 대 표면 복사에서 요소 i의 유체에 작용하는 순 열 플럭스입니다. Gi는 요소 i의 면에 작용하는 입사 복사이고, Ji는 요소 면 i의 라디오시티입니다. 이 라디오시티는 다음과 같이 쓸 수 있습니다.

여기서 은 방사율이고 는 요소 표면 i의 투사율이며, Ebi

는 요소 표면 i의 흑체 방사도입니다.

여기서 는 Stefan-Boltzman 상수입니다. 입사 복사는 다음과 같이 계산할 수 있습니다.

여기서 Fi=J는 요소 표면 i와 요소 표면 j 간의 각관계입니다. 따라서 복사 열 플럭스를 계산하려면 모든 요소 표면 사이의 각관계를 계산해야 합니다.

Autodesk® CFD에서는 각관계를 계산하기 위해 두 가지 혁신적인 방법을 사용합니다. 첫 번째 방법과 이전 방법(복사 모형 1)에서 하이브리드 광선 추적/불연속 세로좌표 모형이 사용됩니다. 이 모형에서는 각 외부 요소 면을 둘러싸는 반구를 고려합니다. 이 반구는 많은 불연속 광선으로 나뉩니다. Autodesk® CFD는 이러한 광선을 검색하여 광선이 닿는 다른 요소 면을 찾은 후 복사 교환열을 이러한 면으로 나눕니다. 이 분할은 결과적으로 외부 면 간의 각관계를 형성합니다.

두 번째 및 최신 방법(복사 모형 4)에서 Autodesk® CFD는 주변 요소 면의 이미지를 고려할 요소 면을 둘러싸는 구에 투영합니다. 실제로 이렇게 하면 이 구의 주변 비트맵이 작성됩니다. 이 투영에서 Autodesk® CFD는 정확한 각관계를 계산할 수 있습니다. 이 경우 각관계는 비트맵의 픽셀 해상도만큼 정확합니다. 이 방법의 두 번째 단계에서 Autodesk® CFD는 각관계의 1:1 일치를 보장합니다.

이러한 각관계의 1:1 일치가 수행된 후에는 매우 엄격한 복사 에너지 균형 작업이 진행됩니다. 이 방법은 첫 번째 방법보다 좀 더 정확하지만 각관계를 계산하기 위해 일시적으로라도 더 많은 메모리와 더 많은 CPU 시간이 필요합니다. 그러나 이 계산은 한번 수행된 후 연속적인 해석 재시작을 위해 저장됩니다.

복사 모형 4의 다른 특징은 각관계를 계산하면 Autodesk® CFD에서 태양열 복사 열 플럭스를 포함할 수 있다는 것입니다. 태양열 복사를 포함하기 위해 해석되는 본체 위의 돔은 하늘을 나타냅니다. 이 하늘 돔과 본체 사이의 각관계에 따라 본체에 작용하는 태양열이 결정됩니다. 태양열 플럭스는 시간, 위도 및 경도에 따라 Autodesk® CFD에서 자동으로 계산됩니다.

자연, 혼합 및 강제 대류

이러한 용어는 열 전달 유형을 나타냅니다. 자연 대류에서는 유체 동작이 생성되거나 유체 특성(주로 밀도)에 영향을 미치는 온도 차이에 따라 지배됩니다. 운동량 방정식에서는 중력 항이나 부력 항이 흐름을 지배하므로 이러한 흐름을 부력 구동 흐름이라고도 합니다. 반대로, 강제 대류 흐름에서는 온도가 유체 동작에 의해 크게 좌우되며 부력이나 중력은 영향을 거의 미치지 않거나 전혀 미치지 않습니다. 혼합 대류는 이러한 두 가지가 혼합된 것으로, 유체 동작과 부력 모두 영향을 줄 수 있습니다. 자연 대류는 개구부가 없거나 명확히 정의된 입구가 없는 경우가 많습니다. 강제 대류에는 혼합 대류처럼 입구 영역과 출구 영역이 항상 있습니다. 자유 대류는 닫히지 않았거나 열린 자연 대류 문제입니다.

Autodesk® CFD에서는 지배 방정식에서 상수 밀도를 가정하는 Boussinesq 근사를 사용하지 않습니다. 대신 낮은 마하 수 가정을 사용하여 압력을 분해합니다.

여기서 Pref는 상수 참조 압력(일반적으로 대기 압력)이고, 는 참조 밀도(참조 압력 및 온도의 밀도)이고, gi는 중력 벡터이고, xi는 원점으로부터의 거리 벡터입니다. 이 방정식을 운동량 방정식으로 대체하면 새 종속 변수는 p*가 됩니다. 정적 헤드(오른쪽의 두 번째 항)를 빼면 수치 안정성이 크게 향상됩니다.

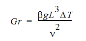
대류 문제는 층류 또는 난류일 수 있습니다. 강제 대류 및 대부분의 혼합 대류 문제의 경우 유동 구간대를 결정하기 위한 측정값으로 레이놀즈 수가 다시 사용됩니다. 자연 대류 흐름에서는 그래호프 수가 측정값입니다. 그래호프 수는 다음과 같이 정의됩니다.

여기서 는 체적 팽창 계수이고, g는 중력 가속도이고, L은 특성 길이이고, T는 온도이고, 는 동점도입니다. 경우에 따라 그래호프 수와 프란틀 수를 조합한 레일리 수도 참조됩니다.

프란틀 수는 다음과 같이 정의됩니다.

레일리 수는 다음과 같이 정의됩니다.

여기서 Cp는 상수 압력 비열이고, 는 절대 점도이고, 는 밀도이고, k는 열전도 계수입니다.

필름 계수

Autodesk® CFD는 다음 두 가지 방법 중 하나로 필름 계수(대류)를 계산합니다. 첫 번째 방법은 열 전달 잔류를 계산하는 것입니다. 열 전달 잔류는 에너지 방정식을 만든 후 마지막 온도(또는 엔탈피 값) 해를 이 방정식에 대입하여 계산합니다. 잔류는 이 온도 해를 유지하는 데 필요한 열량입니다.

열 전달 잔류는 관계에서 필름 계수를 결정하는 데 사용합니다.

여기서 온도 차이는 벽 값과 벽 근처 값 사이에서 나타납니다.

두 번째 방법은 레이놀즈 수를 기반으로 하는 경험 관계식을 사용하는 것입니다. 이 경험 관계식에서는 다음과 같이 정의되는 넛셀 수를 계산해야 합니다.

여기서 h는 필름 계수이고, L은 특성 길이이고, k는 열전도 계수입니다. 이 넛셀 수는 전도 열 전달 대비 대류 열 전달의 비율입니다. Autodesk® CFD에서 넛셀 수를 계산하는 데 사용되는 상관 관계는 다음과 같습니다.

Pr은 프란틀 수이고 a, b 및 C는 상수입니다. 넛셀 수와 레이놀즈 수 모두 길이에 따라 달라집니다. 이러한 길이는 반드시 같을 필요는 없으며 다른 경우도 많습니다. 레이놀즈 수 길이는 일반적으로 개구부 길이, 실린더 지름 또는 계단 높이입니다. 넛셀 수 길이는 일반적으로 필름 계수가 계산되는 표면의 길이입니다.

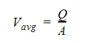
벌크 및 평균 수량

종속 변수의 평균 값을 나타내는 데 사용할 수 있는 방법에는 두 가지가 있습니다. 사용할 수 있는 첫 번째 방법은 벌크 값으로, 다음을 사용하여 계산하는 질량-가중치 평균입니다.

이 방정식에서는 솔루션 영역의 특정 위치에서 벌크 를 계산합니다. 이 방정식에서는 이 위치에 있는 모든 요소 면에 대해 적분을 구합니다.

평균 수량을 계산하는 또 다른 방법은 다음과 같이 계산되는 산술적 평균 값을 사용하는 것입니다.

이러한 두 방정식에서는 벌크 중량 평균이 산술 평균 값에 해당하지 않을 수 있다는 것을 알 수 있습니다. 예를 들어, 산술 평균 속도는 다음과 같이 계산됩니다.

그러나 벌크 속도는 이 방정식을 충족하지 않을 수 있습니다.

분산 저항

여러 흐름 장애물이 있는 형상의 경우, 분산 저항을 사용하여 문제의 전체 크기(유한 요소 수)를 줄일 수 있습니다. 압력 및 속도 그라데이션을 해석하는 데 필요한 세부 사항으로 각 흐름 장애물을 모델링하지 않고, 훨씬 더 큰 규모로 흐름 장애물을 모델링한 후 운동량 방정식에서 싱크 항으로 나타낼 수 있습니다. 이러한 장애물은 추가 압력 강하로 효과적으로 모델링됩니다. 예를 들어 쉘 및 튜브 열 교환기에서는 각 튜브를 개별적으로 모델링하지 않고 분산 저항 항을 사용하여 튜브 영역을 모델링할 수 있습니다. 이 모델링 기술을 사용하여 환풍구, 지붕창, 충전층, 유입망, 튜브 뱅크, 카드 케이지, 필터 및 기타 침투성 매체를 모델링할 수 있습니다.

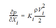
분산 저항 항은 세 가지 양식으로 나타낼 수 있습니다. 첫 번째는 손실 계수 양식으로, 초과 압력 그라데이션이 다음과 같이 작성됩니다.

여기서 i는 전역 좌표의 방향을 나타냅니다. K-계수는 압력 강하 대 흐름 속도 측정값을 통해 결정될 수 있습니다. 이 계수는 Handbook of Hydraulic Resistance, 3판(저자: I.E. Idelchik, 출판사: CRC Press, 1994(ISBN 0-8493-9908-4)와 같은 유체 저항 핸드북에서도 찾아볼 수 있습니다. Autodesk® CFD에서 사용되는 K 계수는 길이 단위 1을 사용합니다. 대부분의 핸드북에서는 단위 없는 K-계수가 사용됩니다.

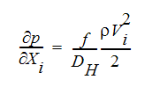
분산 저항을 입력하는 두 번째 양식은 마찰 계수 방법입니다. 이 양식에서 과도 압력 그라데이션은 다음과 같습니다.

여기서 f는 마찰 계수이고 DH는 유압 지름입니다. 마찰 계수는 Moody 관계를 사용하여 계산할 수 있습니다.

여기서 은 길이 단위의 표면 거칠기이고, DHH는 길이 단위의 유압 지름입니다.

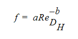
다음 관계를 사용하여 마찰 계수도 계산할 수 있습니다.

여기서 a 및 b는 상수입니다.

분산 저항 항의 마지막 양식은 Darcy 관계를 따릅니다.

여기서 C는 점성 계수로, 투과율의 역수이고, 는 유체 점도입니다.

사용해야 하는 양식은 사용할 수 있는 정보에 따라 다릅니다. 앞서 설명한 바와 같이, 압력 강하 대 유량 데이터를 사용할 수 있으면 K-계수 방법을 사용하는 것이 가장 좋습니다. 일부 충전층에서 투과율을 사용할 수 있으며 마지막 양식이 가장 좋은 방법입니다. 큰 튜브 뱅크가 있는 형상의 경우 마찰 계수가 가장 적합한 양식일 수 있습니다.