입자 추적

Autodesk® CFD에서 흐름을 따르는 질량 없는 입자 또는 질량이 있는 입자에 대해 입자 추적을 작성할 수 있습니다. 두 경우 모두 라그랑주 방정식의 해를 구해 모형을 통한 입자 경로를 계산합니다.

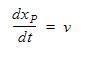
질량 없는 입자의 경우 방정식은 다음과 같습니다.

여기서 xp는 입자 위치 벡터이고 v는 로컬 입자 속도입니다.

질량 없는 입자의 경우 이 로컬 입자 속도는 로컬 유체 속도와 같습니다.

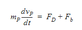
질량 있는 입자의 경우 로컬 입자 속도를 확인하기 위한 또 다른 방정식이 필요합니다. 뉴턴의 제2법칙을 사용합니다.

여기서 mp는 입자 질량이고 vp는 입자 속도이고, Fb는 부력이고, Fd는 다음을 사용하여 계산하는 항력입니다.

이 방정식에서 a, b 및 c는 사용자 입력이고 Re는 다음을 사용하여 계산되는 유체 레이놀즈 값입니다.

위의 정의 외에, 이 방정식은 Rp를 입자 반지름으로 사용하며 는 유체 점도입니다.

마지막으로 부력은 다음을 사용하여 계산됩니다.

여기서 g는 사용자가 입력하는 중력 벡터입니다.