열 싱크

여기서 열 싱크 재료 상관 관계 및 제어 방정식에 대한 자세한 내용을 살펴봅니다.

마이크로 채널

총 열 저항:

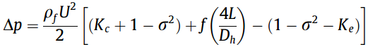
압력 강하:

수축 및 팽창 계수:

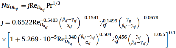
넛셀 수:

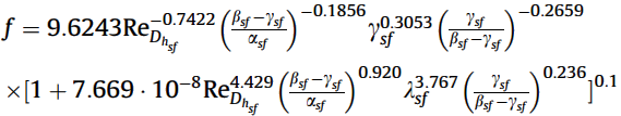
마찰 계수 상관 관계:

마이크로 채널 구성에 대한 상관 관계는 다음 형상 및 작동 조건을 따릅니다.

Pin-Fin

총 열 저항:

압력 강하:

수축 및 팽창 계수:

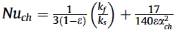
넛셀 수:

인라인에 대한 마찰 계수 상관 관계:

다중에 대한 마찰 계수 상관 관계:

pin-fin 구성에 대한 상관 관계는 다음 형상 및 작동 조건을 따릅니다.

간격띄우기 스트립

총 열 저항:

압력 강하:

수축 및 팽창 계수:

넛셀 수:

마찰 계수 상관 관계:

간격띄우기 스트립 구성에 대한 상관 관계는 적절한 Pr을 사용하여 모든 가스와 대부분의 액체에 적용됩니다.

변수 및 명명법

다음과 같은 공통 변수가 열 싱크 상관 관계에 사용됩니다.

명명법

a는 간격띄우기 스트립 핀 길이(m)입니다.

b는 간격띄우기 스트립 핀 두께(m)입니다.

cpf는 비열(J/kg K)입니다.

d는 지름(m)입니다.

Dh는 유압 지름(m)입니다.

f는 마찰 계수입니다.

H는 핀 높이(m)입니다.

k는 열전도율(W/m K)입니다.

Kc는 급축소 계수입니다.

Ke는 급확대 계수입니다.

L은 흐름 방향의 열 싱크 길이, 즉 가열된 영역의 길이(m)입니다.

Lc는 특성 길이(m)입니다.

N은 핀 수입니다.

NT는 측면 방향의 핀 수입니다.

NL은 흐름 방향의 핀 수입니다.

Nuch는 채널 폭과 높이를 기준으로 한 넛셀 수입니다.

Nud는 지름 d를 기준으로 한 넛셀 수입니다.

NuDh는 유압 지름 Dh를 기준으로 한 넛셀 수입니다.

NuL은 길이 L을 기준으로 한 넛셀 수입니다.

P는 거듭제곱(W)입니다.

Pr은 프란틀 수입니다.

R은 열 저항(K/W)입니다.

Red는 지름 d를 기준으로 한 레이놀즈 수입니다.

ReDh는 유압 지름 Dh를 기준으로 한 레이놀즈 수입니다.

ReL은 길이 L을 기준으로 한 레이놀즈 수입니다.

ST는 원형 Pin-Fin 측면 핀 간격(m)입니다.

SL은 원형 Pin-Fin 스트림 차원의 핀 간격(m)입니다.

s는 간격띄우기 스트립 핀 측면 핀 간격(m)입니다.

t는 기본 두께(m)입니다.

U는 속도(m/s)입니다.

wch는 마이크로 채널 폭(m)입니다.

ww는 마이크로 채널 핀 두께(m)입니다.

W는 열 싱크 폭(m)입니다.

그리스 기호

α 는 핀 특성 길이 Lc 비율에 대한 핀 높이입니다.

β 는 핀 특성 길이 Lc 비율에 대한 측면 핀 간격입니다.

Δp는 압력 강하(Pa)입니다.

ε 은 wch/(wch + ww)로 정의된 기공률입니다.

ν f 는 핀 효율성입니다.

ν o 는 전체 열 싱크 효율성입니다.

γ sf 는 b/a로 정의된 간격띄우기 스트립 핀 폭 대 핀 길이 비율입니다.

λ cp 는 SL/dcp로 정의된 스트림 차원의 피치입니다.

μ 는 점도(kg/m s)입니다.

ρ 는 밀도(kg/m3)입니다.

σ 는 단위 앞면 영역 비율입니다.

아래 첨자

ch는 채널을 나타냅니다.

cp는 원형 pin-fin을 나타냅니다.

f는 유체를 나타냅니다.

s는 솔리드를 나타냅니다.

sf는 간격띄우기 스트립 핀을 나타냅니다.

tot는 합계를 나타냅니다.

참조

최적화 및 비교 연구를 비롯하여 자세한 내용을 알아보려면 다음 자료를 참조하십시오. International Journal of Heat and Mass Transfer. (20 May 2009). Multi-objective thermal design optimization and comparative analysis of electronics cooling technologies. (Publication 52 (2009) 4317-4326). Sidy Ndao, Yaov Peles, Michael K. Jensen.