압축 열 모형

두 개의 저항기 압축 열 모형은 접합, 케이스 및 보드의 세 슈퍼 노드로 구성됩니다. 접합을 다이 또는 칩이라고도 합니다. 케이스는 패키지의 상단 표면에 있으며 여기서 열 싱크가 패키지에 마운트될 수 있습니다. 보드 노드는 보드와 접합 또는 칩 사이의 열 저항()으로 연결됩니다. 케이스는 케이스와 접합 사이의 열 저항()으로 연결됩니다. 접합으로 열 전달 또는 접합에서 열 전달은 이러한 두 개의 연결을 통해서만 가능합니다.

Autodesk® CFD에서 접합은 단일 유한 요소 노드로 간주됩니다. 그러나 이 단일 노드에 대한 보드와 케이스 연결에는 두 저항기 구성요소 주위의 표면에 사용된 메쉬 크기에 따라 여러 개의 유한 요소 노드가 포함될 수 있습니다. 이러한 여러 노드를 강제 적용하여 한 노드의 효과를 시뮬레이션하기 위해 높은 열 전도율이 사용됩니다.

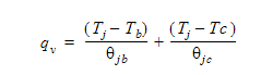
단일 접합 노드를 다른 유한 요소 노드에 연결하기 위해 다음 수식에 따라 접합에 에너지 균형이 수행됩니다.

이 방정식은 Autodesk® CFD에서 설정하고 앞서 설명한 구분된 에너지 방정식을 포함한 에너지 방정식 솔루션 매트릭스에 결합한 다음 암시적으로 해결합니다.