질량 입자 추적

기본적으로 입자 추적은 질량이 없는 입자가 흐름으로 방출되는 경우 택하는 경로입니다. 물리적으로 좀 더 사실적인 시각화 기술은 입자에 대한 질량 효과를 포함합니다. 결과 추적은 흐름 시스템 내에서 물리적인 실체처럼 동작합니다.

관성 및 드래그 효과를 고려할 때 입자에 관성이 너무 많아서 방향을 바꿀 수 없는 경우 벽을 치게 됩니다. 질량 입자가 벽이나 대칭 표면에 부딪히면 튀어 오릅니다. 원상 복구 계수를 지정하여 충돌 시 바운스 크기를 제어할 수 있습니다.

질량 입자의 시각화에 상당한 유연성을 제공하는 여러 가지 설정이 있습니다. 가장 기본적인 설정은 입자 밀도 및 입자 반지름을 선택하는 기능입니다. 기타 설정에는 사용자 규정 초기 경로, 중력 포함 및 사용자화 가능한 드래그 상관 관계가 있습니다.

이러한 기능은 질량 대화상자에 있습니다. 입자 추적 작업 대화상자에서 질량 버튼을 클릭하여 이 대화상자를 엽니다. 질량 사용을 클릭하여 시작합니다.

질량 입자 추적은 앞쪽으로만 그려지고, 뒤쪽으로는 그려지지 않으므로 시드 점을 형상 입구 주위에 배치하는 것이 가장 좋습니다.

필요한 수량 및 단위

입자 밀도입자 반지름을 입력하고, 두 수량에 대해 원하는 단위를 선택합니다. 기본 밀도는 유체 밀도이고, 기본 반지름은 모형의 경계 상자를 기반으로 합니다.

주: 입자 반지름 값은 1e-12에서 (부품 경계 상자의 가장 긴 치수)/5 사이여야 합니다. 이 범위를 벗어나는 값을 지정하면 입자 반지름이 기본값으로 재설정됩니다.

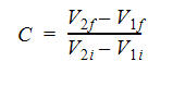
원상 복구 계수

이 원상 복구 계수는 두 객체 사이의 바운스 양을 측정한 것입니다. 특히, 이 값은 충격 전후 객체의 속도 비율로, 수학적으로 다음과 같이 설명할 수 있습니다.

질량 입자의 경우 다른 객체가 정적 벽이므로 이 방정식이 다음과 같이 줄어듭니다.

원상 복구 계수 범위는 0.01과 1 사이입니다.

원상 복구 계수 값이 0.01인 질량 입자의 예:

원상 복구 계수 값이 1인 질량 입자의 예:

초기 경로

초기 속도 설정을 선택하여 추적에 대한 초기 속도 및 방향을 지정합니다.

이렇게 하면 속도 및 궤적이 알려진 흐름과 입자 사출 간 상호 작용을 시각화할 수 있습니다. 흐름 스트림으로 입자의 에어로졸 사출을 예로 들 수 있습니다.

중력

질량 입자에 중력 사용을 선택하여 입자 추적에 본체 힘의 효과를 포함합니다.

X, YZ 상자에 힘 구성요소를 입력합니다.

지구 중력의 경우 지구 상자를 선택하고 단위 벡터를 입력하여 중력이 작동하는 방향을 나타냅니다.

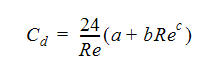
수정 가능한 드래그 상관 관계

질량 입자에 사용된 드래그 상관 관계는 다음과 같이 지정됩니다.

계수 a, bc를 수정하여 드래그를 적절하게 변경합니다.

침식

거친 흐름 환경에서 장비 실패의 주요 원인 중 하나는 고속 액체 흐름 침해로 인한 표면 침식입니다. 내구성 및 서비스 수명의 개선을 위해서는 침식이 발생할 수 있는 위치를 알고 있어야 합니다.

모래, 석영 및 플라이 애시와 같은 오염 물질로 인해 재료가 재순환될 때 침식되고, 밸브 및 기타 기계에 영향을 줍니다. 석유 및 가스 산업에서는 엔지니어가 입자의 "메쉬 크기"를 기준으로 이러한 연성 침식을 평가합니다. 메쉬 크기는 시스템에서 찾을 수 있는 가장 큰 입자 크기입니다. 이러한 현상을 "워시아웃"이라고도 합니다.

Autodesk® CFD는 Edwards 모형에서 라그랑주 입자 추적을 사용하여 침식을 계산합니다. 낮은 입자 농도 가정(슬러리 침식 모형 아님)을 사용하면 결과가 스칼라 결과 수량으로 표시됩니다. 따라서 설계 비교가 쉽고, 침식 예측 해석에서 추측할 필요가 없습니다.

침식 모형은 공격 바운스 데이터의 각도와 브리넬 재료 경도를 사용하여 재료 토량 제거율을 계산합니다. 이 접근 방식은 침식의 영향을 받는 영역을 질적으로 식별하고 흐름과 침식 추세 간의 관계를 보여줍니다. 따라서 이를 통해 설계를 개선해 침식을 줄일 수 있습니다.

침식 계산에 대한 자세한 정보...

시간 단계 크기

입자가 요소를 통과할 때 한 시간 단계에서 다음 시간 단계까지 로컬 속도 필드를 기반으로 항력이 계산됩니다. 입자에 작용하는 속도는 입자가 현재 이동하는 요소의 노드 정점에서의 속도 값에 따른 형상 가중치를 사용하여 계산됩니다. 한 시간 단계에서 입자가 이동한 거리는 입자의 속도에 시간 단계 크기를 곱한 값과 같습니다.

시간 단계 크기가 너무 크면 입자가 단일 시간 단계에 여러 요소를 통과할 수 있습니다. 그러면 입자가 통과한 중간 입자 중 일부 내의 속도 필드가 고려되지 않으므로 실제 동작과 거리가 있는 근사치가 산출됩니다. 시간 단계 크기가 입자가 단일 요소를 통과하는 데 필요한 시간과 거의 동일한 경우 가장 정확한 경로가 계산됩니다. 입자가 한 시간 단계에서 단일 요소를 통과하는 경우 로컬 속도 필드와 항력 예측값은 경로를 따라 있는 모든 요소를 고려합니다. 이러한 경우 정확도가 가장 높아집니다.

시간 단계 크기를 더 줄여도 입자 경로가 영향을 받지 않을 때까지 시간 단계 크기를 줄이는 것이 좋습니다.