W programie AutoCAD Civil 3D można obliczać wartości na podstawie definicji geometrycznej łuku pionowego, informacji o punkcie załamania niwelety oraz wysokości obiektu i punktu obserwacji.
Te wartości są uzyskiwane w oparciu o równania empiryczne i nie wykorzystują prędkości projektowej.
W przypadku łuku wypukłego używa się zakresu widzenia i odległości od dostrzeżonego obiektu, ponieważ szczyt łuku może zasłaniać kierowcy widok powierzchni jezdni lub innego obiektu.
Zakres widzenia i odległość od dostrzeżonego obiektu nie są używane w przypadku łuku wklęsłego, ponieważ nie istnieje szczyt łuku, który mógłby zasłaniać kierowcy widok powierzchni jezdni lub innego obiektu. W dzień przy dobrej widoczności kierowca ma pełny widok drogi w przypadku łuku wklęsłego. W nocy kierowca widzi jednak tylko obszar oświetlony przez reflektory samochodu. Do zaprojektowania łuku wklęsłego można użyć zasięgu reflektorów.
Właściwości te można wyświetlić w programie AutoCAD Civil 3D 2018 za pomocą Edytora komponentu tekstowego. Na karcie Ustawienia w obszarze narzędzi rozwiń pozycje Profil
Style etykiety
Łuk. Kliknij dwukrotnie domyślny styl etykiety Wypukły i wklęsły. Kliknij kartę Układ. W polu Nazwa komponentu wybierz element, np. PKP. W Edytorze komponentu tekstowego kliknij strzałkę rozwijania znajdującą się pod pozycją Właściwości, aby wyświetlić listę dostępnych właściwości. Przewiń w dół, aby wyświetlić właściwości takie jak Zasięg reflektorów, Zakres widzenie itd.
Zakres widzenia to odległość umożliwiająca kierowcy dostrzeżenie zbliżającego się pojazdu w celu określenia, czy odległość jest wystarczająca, aby zwolnić pas do wyprzedzania. Zakres widzenia nie jest często używany w projektowaniu łuków wypukłych, ponieważ uniemożliwia to długość łuku wymagana do spełnienia kryteriów zakresu widzenia.
Odległość od dostrzeżonego obiektu, powszechnie stosowane kryterium określania długości łuku, to odległość potrzebna kierowcy do dostrzeżenia zagrożenia na powierzchni jezdni. Wytyczne rządowe określają wymagania dotyczące zakresu widzenia i odległości od dostrzeżonego obiektu.
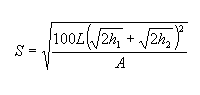
Poniższe równania pozwalają obliczyć długości łuku wypukłego za pomocą zakresu widzenia i odległości od dostrzeżonego obiektu.
gdzie:
L = długość łuku pionowego w stopach (lub metrach),
S = zakres widzenia stopach (lub metrach),
A = różnica algebraiczna procentu (%) nachylenia,
h1 = wysokość punktu obserwacji ponad powierzchnią jezdni w stopach (lub metrach),
h2 = wysokość obiektu ponad powierzchnią jezdni w stopach (lub metrach).
Poniższe równanie pozwala obliczyć L, gdy S jest mniejsze od L:

Poniższe równanie pozwala obliczyć S, gdy S jest mniejsze od L:

Poniższe równanie pozwala obliczyć L, gdy S jest większe od lub równe L:

Poniższe równanie pozwala obliczyć S, gdy S jest większe od lub równe L:

W nocy zakres widzenia jest określony przez zasięg reflektorów pojazdu. Łuk wklęsły powoduje zatrzymanie wiązki światła reflektorów na powierzchni jezdni i ogranicza długość wiązki. Zasięg reflektorów mierzy górną część wiązki światła reflektorów ponad nawierzchnią i maksymalny kąt reflektorów w celu określenia długości łuku. Uwzględniana jest również wysokość punktu obserwacji kierowcy.
Poniższe równania zasięgu reflektorów są używane do tworzenia łuków wklęsłych.
gdzie:
A = różnica algebraiczna procentu (%) nachylenia,
hd = wysokość wiązki światła reflektorów ponad nawierzchnią w stopach (lub metrach).
L = długość łuku pionowego w stopach (lub metrach),
S = zakres widzenia stopach (lub metrach),
Ø = kąt odchylenia w górę wiązki światła reflektorów względem linii poziomej (zwykle 1 stopień).
Poniższe równanie pozwala obliczyć L, gdy S jest mniejsze od L:

Poniższe równanie pozwala obliczyć S, gdy S jest mniejsze od L:

Poniższe równanie pozwala obliczyć L, gdy S jest większe od lub równe L:

Poniższe równanie pozwala obliczyć S, gdy S jest większe od lub równe L:
