Ten typ połączenia służy do wymiarowania i weryfikacji połączeń rurowych z prętów stalowych o przekrojach z rur okrągłych, kwadratowych i prostokątnych zgodnie z zaleceniami normy Eurocode 3: 2005.
Obliczenia połączenia obejmują następujące typy połączeń rurowych: typ K, N, KT, T, Y i X. Możliwe jest również stosowanie w połączeniu przekrojów dwuteowych jako pasa, a także stosowania wzmocnień pasa (płytek poziomych, płytek bocznych) przyspawanych do pasa (patrz poniższy rysunek).

Zestaw sił, które są brane pod uwagę podczas obliczeń połączenia:
Metody przy obliczaniu nośności poszczególnych prętów w połączeniu zostały opracowane w oparciu o wytyczne:
Przyjęto, że sprawdzenie nośności węzłów za pośrednictwem oceny nośności N Rdi przy zastosowaniu spoin czołowych, jest równocześnie sprawdzeniem nośności tych spoin; stąd też przy weryfikacji spoin traktuje się je jako spoiny pachwinowe. Sprawdzanie wydajności spoiny odbywa się zgodnie z wytycznymi normy Eurocode 3: 2005.
Przyjęto, że:
długość spoiny jest równy jej rzeczywistej długości.


Jeśli rura styka się z elementem płaskim pod danym kątem
Jeśli pasy są wykonane z prostokątnych lub kwadratowych rur, przyjmuje się, że niektóre odcinki spoin są nieefektywne.
W przypadku połączenia, w którym istnieje odległość między prętami, przyjmuje się, że podłużne segmenty spoin (względem osi pasa) są w pełni efektywne, podczas gdy efektywność segmentów poprzecznych ma różne wartości. Odcinek 3 (spoina wewnętrzna) złącza pręta nachylonego bierze udział w przenoszeniu siły z jednego pręta na sąsiedni odcinek, natomiast odcinek 4 (spoina zewnętrzna) jest wyłączony ze współpracy przy dużych kątach nachylenia.

Przekroje obliczeniowe spoin pachwinowych:
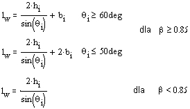
a) przekrój obliczeniowy spoiny dla θ > 50 [st]
b) przekrój obliczeniowy spoiny dla θ ≤ 50 [st]
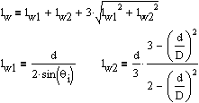
Efektywna długość spoin w połączeniach K i N wynosi:

Wartość l4 w odstępach (50 st, 60 st) powinna być interpolowana liniowo.
Przyjmuje się, że w przypadku połączeń, dla których pręty zachodzą na siebie, spoiny są uwzględniane na wszystkich czterach krawędziach połączonych rur, natomiast ich długości są obliczane zgodnie z rzeczywistymi wymiarami w połączeniu.

Długości spoin w połączeniach K i N wynoszą:

Procedura używana do obliczania naprężeń na poszczególnych odcinkach spoin jest taka sama jak dla połączeń z odstępami pomiędzy prętami.
Patrz również:
Odcinek 3 nie jest efektywny, jeśli wartości b są małe.
Przyjmuje się, że długość spoiny jest efektywna:
