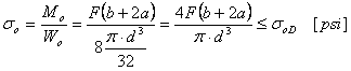
Tensão de vergadura

Pressão na vareta
Pressão no clevis
Tensão de corte
Tensão de corte
onde:
|
F |
força [libras] |
|
|
σ 0 |
tensão de vergadura [psia] |
|
|
σ 0D |
tensão de vergadura suportada [psi] |
|
|
M 0 |
momento de vergadura [libras pés] |
|
|
W 0 |
módulo da seção de vergadura [pol 3 ] |
|
| τ |
tensão de corte [psi] |
|
|
τ D |
tensão de corte suportada [psi] |
|
|
d |
diâmetro do pino [pol] |
|
|
p 1 |
pressão na vareta [psia] |
|
|
p 2 |
pressão no clevis [psi] |
|
|
p 1D |
pressão suportada na vareta [psi] |
|
|
p 2D |
pressão suportada no clevis [psi] |
|
|
b |
largura da vareta [pol] |
|
|
a |
largura do braço do clevis [pol] |