Equações gerais utilizadas
|
|
|
|
Onde m é uma massa de correia específica definida como m = S ρ |
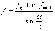
Fator de atrito alterado de uma dada polia
|
|
|
|
|
f = f g + v f mod |
Equações fundamentais de polias impulsoras e correias
potência para transmitir
Velocidade de correia
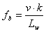
Frequência de flexão da correia
Desmoldagem efetiva (ou tensão efetiva)
Força centrífuga
Fc = z m v 2
Tensão nos intervalos da correia
Com as equações seguintes, o aplicativo primeiro determina a polia com maior probabilidade de requerer a tensão máxima de instalação de correia para poder transmitir uma carga. Em seguida, a tensão da correia de cada intervalo é ajustada para todas as polias com respeito à tensão de instalação da correia inicial.
|
|
|
|
F 1i - F p P xi - F 2i = 0 |
|
|
|
|
|
|
O critério para determinar a polia mais provável é a tensão do lado de máximo aperto
F 1máx = máx (F 1i )
A tensão máxima total no intervalo da correia (para cada correia) quando a transmissão da correia é localizada abaixo da carga completa é determinada como
Onde a expressão “k 1 F 1máx ” é a tensão máxima real no segmento da correia considerado para todas as correias da transmissão de correia. Deste modo, todas as tensões correspondentes dos diferentes segmentos são calculados novamente para cumprir a seguinte condição:
F 1i - F P P xi - F 2i = 0
Carga axial resultante para cada polia quando a transmissão da correia é localizada abaixo da carga completa
Tensão de instalação inicial da correia e força de tensionamento estática
A tensão de instalação inicial da correia requerida (para cada correia) pode ser ajustada com o fator de tensão e é calculada do modo a seguir:
A força de tensionamento estático F v é determinada para cada polia. O aplicativo calcula a força de tensionamento que atua sobre o eixo dos intervalos da correia da forma seguinte:
|
|
|
Significado das variáveis utilizadas:
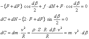
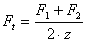
| C | Força tangencial [N] |
| β | Arco de contato [gr] |
| α | Ângulo de setor [gr] |
| C | Força centrífuga [N] |
| N | Força normal [N] |
| m | Massa específica da correia [kg/m] |
| v | Velocidade da correia [m/s] |
| R | Raio de polia [m] |
| S | Área da seção transversal da correia [m 2 ] |
| T | Torque em uma polia especificada [Nm] |
| D p | Diâmetro do flanco de polia [m] |
| k | Número de polias [-] |
| P | potência para transmitir [N] |
| v | Velocidade da correia [m/s] |
| F c | Força centrífuga [N] |
| F 1 | Tensão no segmento da correia na entrada para a polia especificada [-] |
| F 2 | Tensão no segmento da correia na saída para a polia especificada [-] |
| f | Fator de atrito alterado da polia especificada [-] |
| P x | Taxa de potência da polia especificada [-] |
| f g | Fator de atrito do material e correia da polia especificada [-] |
|
f mod |
Fator de velocidade de modificação do atrito [s/m] |
| Z | Número de correias [-] |
| ρ | Densidade da correia [kg/m3] |
| F t | Tensão inicial de instalação da correia [N |
| F v | Força de tensionamento estática para a polia especificada [N] |
| k 1 | Fator de tensão da correia [-] |