Длина шага ремня задается по количеству зубьев ремня и окружному шагу. Траектория ремня основывается на индивидуальном положении шкива. Диаметр делительной окружности каждого шкива определяется по следующим формулам. Положение скользящего шкива настраивается для соблюдения критерия длины ремня. В расчете используется итерация для нахождения соответствующего положения скользящего шкива, ближайшего к необходимому положению скользящего шкива.
Определение точного диаметра шага
|
|
Синхронный шкив с направлением по часовой стрелке или двусторонний ремень |
|
|
|
|
|
Гладкий шкив с направлением по часовой стрелке или двусторонний ремень |
|
D p = D + 2(a + h t ) |
|
|
|
Синхронный шкив с направлением против часовой стрелки и односторонний ремень |
|
D p = D 0 + 2(H - a - h t ) |
|
|
|
Гладкий шкив с направлением против часовой стрелки и односторонний ремень |
|
D p = D + 2(H - a - h t ) |
Пример механической передачи с двумя шкивами
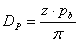
Дуга контакта
Длина шага ремня
Межосевое расстояние
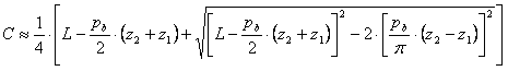
Следующую формулу рекомендуется использовать при определении межосевого расстояния нового привода
0,2 p b (z 1 + z 2 ) ≤ C ≤ 0,7 p b (z 1 = z 2 )
Значение используемых переменных:
|
z |
Количество зубьев заданного шкива/количество зубьев ремня [-] |
|
p b |
Окружной шаг [m] |
|
D |
Номинальный диаметр гладкого шкива [m] |
|
a |
Смещение делительной прямой [m] |
|
h t |
Высота зуба ремня [m] |
|
D 0 |
Наружный диаметр синхронного шкива [m] |
|
H |
Высота ремня [m] |
|
C |
Межосевое расстояние заданного шкива и ведущего шкива [m] |
| β |
Дуга контакта [град] |