|
|
Для каждого шкива |
|
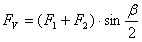
F 2 1 + F p = 0 |
|
|
|
|
|
|
|
|
|
Для ведущего шкива
|
|
v ≤ v max |
|
|
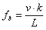
f b ≤ f max |
F c = mv 2
F Tmax = k 1 F p + F c
F 1 = F tmax
F 2 = F 1 p
Для отдельных ведущих и натяжных шкивов
i-индекс шкива
F Pi = P xi F p
F 1i = F 2i-1
F 2i = F 1i + F p i
Где:
для синхронного шкива
для гладкого шкива
Для всей ременной передачи
Необходимое натяжение ремня определяется на основе усилий на ведущем шкиве следующим образом:
Пример механической передачи с натяжным шкивом
|
Шкив ведущий |
Шкив гладкий натяжной |
Шкив ведомый |
|
P x1 = 1 |
P x2 = 0 |
P x3 = 1 |
|
|
|
F P3 = P x3 F p |
|
|
|
|
|
|
|
|
|
|
F 12 = F 21 |
|
|
|
F 22 = F 12 + F p2 = F 12 |
|
|
F c = m v 2 |
|
|
|
F Tmax = k 1 F p + F C |
- |
F 13 = F 22 |
|
F 11 = F Tmax |
- |
F 23 = F 13 + F p3 = F 11 |
|
F 21 = Fp 11 |
- |
|
|
|
- |
- |
Значение используемых переменных:
|
F p |
Эффективная выемка [N] |
|
F 1 |
Натяжение ремня на стороне входа заданного шкива [N] |
|
F 2 |
Натяжение ремня на стороне выхода заданного шкива [N] |
|
z |
Количество зубьев заданного шкива/количество зубьев ремня [-] |
| β |
Дуга контакта/угол наклона зуба [град] |
|
P |
передаваемая мощность [W] |
|
P R |
Номинальная мощность ремня для заданной компоновки передачи [Вт] |
|
c L |
Эксплуатационный коэффициент [-] |
| β |
Дуга контакта [град] |
|
T |
Крутящий момент, действующий на заданный шкив [Nm] |
|
n |
Скорость заданного шкива [об./мин.] |
|
D p |
Диаметр шага шкива [m] |
|
v |
Скорость ремня [м/с] |
|
k |
Количество шкивов в ременной передаче [-] |
|
L |
Длина шага ремня [m] |
|
P |
передаваемая мощность [W] |
|
m |
Определенный вес ремня для заданной ширины [кг/м] |
|
k 1 |
Коэффициент натяжения ремня [-] |
|
F p |
Эффективная выемка [N] |
|
F c |
Центробежная сила [N] |
|
F t |
Минимальное натяжение при установке ремня [N] |
|
P xi |
Передаточное число заданного шкива [-] |
|
D pi |
Диаметр шага шкива [m] |
|
i |
Передаточное отношение (коэффициент скорости) заданного шкива [-] |
|
T i |
Крутящий момент, действующий на заданный шкив [Nm] |
| η |
КПД [-] |
|
p b |
Окружной шаг [m] |
|
D |
Номинальный диаметр гладкого шкива [m] |
|
H |
Высота ремня [m] |
|
h T |
Высота зуба ремня [m] |
|
a |
Смещение делительной прямой [m] |