Длина ремня определяется в базовой или эффективной системе. Поэтому в первую очередь для каждого шкива определяются базовые или эффективные диаметры. Траектория ремня основывается на индивидуальном положении шкива. Положение скользящего шкива настраивается для соблюдения критерия длины ремня. В расчете используется итерация для нахождения соответствующего положения скользящего шкива, ближайшего к необходимому (или текущему) положению скользящего шкива.
Диаметры шкива
|
|
Шкив желобчатый |
|
D e = D w + 2 h w |
|
|
D p = D w + 2 a |
|
|
D d = D w |
|
|
|
Направление движения гладкого шкива по часовой стрелке |
|
D e = D + 2 h |
|
|
D p = D + 2 (h - h w + a) |
|
|
D d = D + 2(h - h w ) |
|
|
|
Направление движения гладкого шкива против часовой стрелки |
|
D e = D |
|
|
D p = D + 2 (h w - a) |
|
|
D d = D + 2 h w |
Пример механической передачи с двумя шкивами
В данном примере используется базовая система.
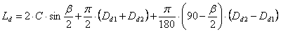
Дуга контакта
Базовая длина ремня
Межосевое расстояние
Следующую формулу рекомендуется использовать при определении межосевого расстояния нового привода
0,7 (D d1 + D d2 ) ≤ C ≤ 2(D d1 + D d2 )
Значение используемых переменных:
|
D W |
Номинальный диаметр (базовый или эффективный) [м] |
|
D e |
Эффективный (наружный) диаметр шкива [м] |
|
h w |
Номинальная высота (для эффективной системы h w = 0) [м] |
|
a |
Смещение делительной прямой (для эффективной системы – отрицательное) [м] |
|
D |
Номинальный и наружный диаметр гладкого шкива [м] |
|
h |
Высота ремня [m] |
|
D d |
Базовый диаметр шкива [м] |
|
C |
Межосевое расстояние [м] |
| β |
Дуга контакта [град] |
|
L d |
Базовая длина ремня [м] |