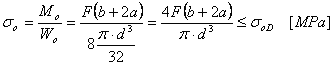
Напряжение изгиба

Давление в стержне
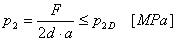
Давление в вилке
Напряжение сдвига
Где:
|
F |
сила [Н] |
|
|
σ 0 |
напряжение при изгибе [MПa] |
|
|
σ 0D |
допустимое напряжение при изгибе [MПa] |
|
|
M 0 |
изгибающий момент [Н мм] |
|
|
W 0 |
момент сопротивления изгибу [мм 3 ] |
|
| τ |
напряжение среза [MПa] |
|
|
τ D |
допустимое напряжение среза [MПa] |
|
|
d |
диаметр штифта [мм] |
|
|
p 1 |
давление в стержне [MПa] |
|
|
p 2 |
давление в вилке [MПa] |
|
|
p 1D |
допустимое давление в стержне [MПa] |
|
|
p 2D |
допустимое давление в вилке [MПa] |
|
|
b |
ширина стержня [мм] |
|
|
a |
ширина плеча вилки [мм] |