Сечения с волнистой стенкой в основном – это двутавры с тонкими волнистыми стенками: Это сечения из семейства сечений SIN или размерами, заданными пользователем.
Элементы с волнистой стенкой могут быть запроектированы только по польским нормам
Для таких сечений необходимо задать следующие параметры:
- из базы данных стандартные сечения с идентичными полками (b 1 =b 2 , t f1 = t f2 ) и следующие символы толщины стенки:
Все размеры из семейства сечений SIN, поэтому редактируемые поля для задания размеров недоступны
- с размерами, заданными пользователем:
Общая высота сечения: H = h + t f1 + t f2
Площадь поперечного сечения полок
Af = b1 * tf1 + b2 * tf2
Площадь поперечного сечения стенки
Aw = h * tw
Общая площадь сечения
A = Af + Aw
Площади поперечных сечений на действие поперечного усилия
Ay = b1 * tf1 + b2 * tf2 – площадь поперечного сечения полок
Az = Aw * m / s – уменьшенная площадь поперечного сечения стенки
Статический момент
S = b1 * tf1 * (h + tf2 + tf1 / 2) + b2 * tf2 * tf2 / 2
Положение центра тяжести сечения

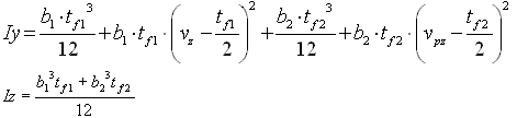
Моменты инерции относительно осей Y и Z соответственно сечения, которое состоит только из полок

Крутящий момент инерции
G= Gf +Gw
G f = r s * A f * l
Gw = r s * Aw * lw = r * Aw * l/m * s
где
A f - площадь поперечного сечения полок
A w - площадь поперечного сечения стенки
r s — плотность стали
l - длина элемента
Iw - развитая длина пластины стенки: lw = l / m * s
m - проектная длина волны
s - развитая длина волны.